基于神經網絡的S企業PDM實施研究及效果預測模型(上篇)
3 仿真分析
3.1 DHNN神經網絡的構建和輸出判斷
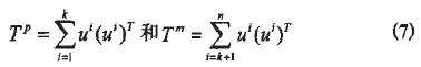
STEP1導入記憶樣本t={tl,t2…tn-1,tn}和參數τ及h:STEP2令A={t1-t2,t2-tn,…,tn-1-tn},奇異陣分解A=USVT并計算秩;STEP3用up={u1,u2,…uk-1,uk}以及um={uk+1,uk+2,…un-1,un}分別計算:

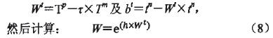
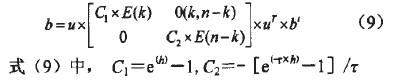
STEP4計算:

STEP5計算:

使用matlab神經網絡工具箱中的newhop()函數,因此權值使用正交化法修正。通過PDM系統在項目實施過程中對各階段的研究,將其在各階段的6級指標進行匯總,見表6。
表6 DHNN神經網絡待聯想輸入樣本指標匯總表

輸出步驟如下:
STEP1首先清空環境變量;STEP2導入記憶穩態,將表4中的每個等級按照表中所示編碼為記憶矩陣,將數據保留到grade數據,依次為grade_1、grade_2…grade_6分別對應等級Ⅰ、Ⅱ…Ⅵ;STEP3將待研究的樣本表5,按照表3的權重分配編碼為待測矩陣,數據保留為sim.mat,依次為sim 1、sim 2…sim 6分別對應C1、C2…C6各個里程碑節點;STEP4創建網絡Net=newhop(T);STEP5調用sim()函數;STEP6結果輸出。在項目的各個里程碑節點得到的研究數據,將其導入到學習完成的DHNN中,從而分別得到各個階段的神經網絡仿真輸出狀態,也就是研究評價等級,見表7。
表7 DHNN神經網絡模型輸出表

3.2 小波神經網絡的構建和輸出判斷
根據DHNN網絡的輸出判斷,C4,C5和C6階段系統達到了V級以上的穩定運行。由于S企業新品研發周期同步于整車配套,項目周期較為固定。將企業90個收費license按新品開發主工作流(如圖4所示)排序,從PDM后臺獲取C5到C6階段連續4個項目的收費license日利用時間數據X8。用前三個項目的270個數據訓練輸入層4節點、隱含層6節點和輸出層1節點小波神經網絡100次后,來預測第4個項目的收費license日利用時間,并同時通過和實際日利用時間比較驗證PDM系統的實施效果。

圖4 S企業新品開發主工作流
構建、訓練和輸出步驟(部分程序)如下:
STEP1 清空環境變量,配置各層節點數,學習概率和迭代次數;
…
M=4,%輸入節點個數;N=1,%輸出節點個數;n=6,%隱形節點個數;1r1=0.01,%學習概率;1r2=0.001,%學習概率;maxgen=100,%迭代次數
…
STEP2 初始化神經網絡權值、節點初始值和權值的學習增量;
STEP3 歸一化輸入輸出、網絡訓練;權值用誤差對于權值的偏導數和學習速率修正;

STEP4 網絡預測、預測輸出反歸一化。
從輸出的第四個項目的收費license預測時間和該項目的實際時間比較如圖5所示,說明模型能夠基本擬合實際指標,從而驗證了神經網絡模型預測S企業實施PDM至穩定運行期后的實施效果,同時通過比照模型輸出曲線可以預警和監控PDM的實施效果。

圖5 小波神經網絡模型輸出時間驗證圖
4 結語
采用神經網絡模型預測S企業實施PDM至穩定運行期后的實施效果是可行的,通過比照模型輸出曲線,預警和監控了PDM的實施效果,為未來的信息系統實施和PDM軟件的生命周期管理提供了有價值的管理依據和分析工具。
核心關注:拓步ERP系統平臺是覆蓋了眾多的業務領域、行業應用,蘊涵了豐富的ERP管理思想,集成了ERP軟件業務管理理念,功能涉及供應鏈、成本、制造、CRM、HR等眾多業務領域的管理,全面涵蓋了企業關注ERP管理系統的核心領域,是眾多中小企業信息化建設首選的ERP管理軟件信賴品牌。
轉載請注明出處:拓步ERP資訊網http://www.sdyuan.com/
























