1 引言
測試性是系統和設備的一種便于測試和診斷的重要設計特性。具有良好的測試性的系統和設備,可以及時、快速地檢測與隔離故障,提高執行任務的可靠性與安全性,縮短故障檢測與隔離時間,進而減少維修時間,提高系統的可用性,降低產品的全壽命周期費用。
系統測試性設計是在系統設計中,通過綜合考慮并實現測試的可控性與可觀測性、初始化與可達性、BIT以及和外部測試設備兼容性等,達到測試性要求的設計過程。系統的測試性設計是否達標需要進行分析與評估。
目前進行系統測試性分析與評估主要有兩種方法:一種是基于經驗的工程加權方法,如GJB2547中給出的加權平均法;另外一種是基于模型的分析方法。基于模型的方法可以將系統的設計信息進行建模,然后進行分析和處理,獲得比人工加權計算更為準確的測試性數據。
基于圖論的相關性模型作為測試性模型的建模分析方法,具有建模高效性、分析準確性等特點,使其在測試性與診斷設計、系統工程、可靠性與維修性等領域得到了廣泛應用。具有代表性的有ARINC公司的信息流模型(IFM)、Queltech公司的多信號流圖模型(MSFG)以及DSI公司的eXpress混合模型。
其中eXpress軟件及其所采用的eXpress信息模型將功能模型與故障模式模型有機結合,在測試性分析方面具有很大優勢,并且適應幾乎所有的系統,然而eXpress軟件在針對電子系統進行建模時,也存在著一些不足,如eXpress信息模型將功能作為端口的屬性而非元件的屬性,這就使其在表示并行總線時,難以很好地處理易操作性與計算復雜度的矛盾;對于只有輸入端口的部件而言,在eXpress中無法定義故障模式的影響;對具有復雜內部功能的元件,建模難度較大。因此,在研究多信號流圖模型和eXpress信息模型的基礎上提出了一種適合電子系統的測試性模型-ESTIM模型(electronic system testability information model)。
2 電子系統ESTIM模型研究
測試性建模的一般原則要求測試性模型應具有易操作性。模型的易操作性與模型的表示方法有著密切的聯系,通常與系統物理結構相接近的表示方法具有更好的操作性。針對電子系統提出的ESTIM模型借鑒了eXpress信息模型在表示方法上的特點,且與EDA軟件相兼容,具有更好的易操作性,它利用功能相關性模型和故障模式相關性模型進行測試性分析,并可利用現有方法對模型進行求解。
2.1 ESTIM模型構成及建模方法
ESTIM模型是一種以電路圖為基礎的模型,其分析的基礎就是電路連接。在獲得電路連接信息的基礎上,需為各元件定義功能及功能影響關系。在ESTIM中,功能間的直接影響關系構成了功能鄰接關系,根據這種鄰接關系就可以得到功能相關性信息。建立功能相關性之后需要為系統定義故障模式、故障率以及故障之間的直接影響,根據故障模式之間的直接影響所構成的鄰接關系,可以根據相關性推理進一步得到故障模式相關性的表示。
ESTIM模型在建模過程中充分利用了EDA設計文檔所提供的信息,其建模方法如圖1所示。在圖1中,拓撲模型即為系統的電路連接,可以從EDA軟件設計文檔中獲得,只要按照特定格式讀取EDA軟件的設計文檔,就能從中獲得電路連接的情況,因而拓撲模型的建立很容易實現。

圖1 ESTIM模型的建模方法
2.2 ESTIM模型表示方法
為獲得較好的易操作性,ESTIM模型采用與電路原理圖相兼容的表示方法,如圖2所示。ESTIM模型的基本組成元素有:元件、連接、組件、端口和測試。在分層建模時按照自頂向下進行系統劃分,自底向上進行測試性分析的步驟進行。

圖2 ESTIM模型的表示方法
ESTIM模型可以獲得以下幾種信息:
1)功能相關性信息。即功能與功能之間的相互影響關系。圖3所示為一個數據采集系統,通過分析可知,模數轉換器在不同時刻分別完成了對3個溫度傳感器輸出的信號采集與轉換:MCU1在不同時刻分別完成對3路信號的處理;而MCU2在不同時刻分別完成對3路信號的判斷以及3個LED的控制。根據相關性的不同,為模數轉換器、MCU1、MCU2分別定義3個功能,其相關性如圖4所示。通過將不同時刻的行為映射為同一時刻的不同功能,ESTIM模型能夠將系統的相關性全部表示出來;

圖3 一個功能隨時間變化的系統

圖4 系統的功能相關性的表示
2)故障模式與功能之間的相關性信息。ESTIM模型在對元件定義故障模式時,通過指明所定義故障模式能夠直接影響的功能來建立功能與故障模式之間的相關性;
3)測試與測試對象(功能、故障模式或元件)的相關性信息。在ESTIM模型中進行測試定義時,測試可以將功能、故障模式及元件作為測試對象。通過電路原理圖(拓撲結構)、元件引腳及功能定義、元件的故障模式,獲得功能與功能的相關性、功能與元件的相關性以及功能與故障模式的相關性,因此知道測試與某個功能、故障模式或元件的直接影響關系,就可以知道測試與其他功能、故障模式以及元件的相關性;
4)故障率、故障模式發生概率以及測試成本等信息。在ESTIM模型中,將故障率和故障模式作為元件的屬性。在選定了元件之后,可以通過制造商提供的數據手冊、電子設備可靠性預計手冊以及以往的使用經驗等獲得元件故障率、故障模式以及各種故障模式的發生概率等信息。
2.3 ESTIM模型的求解過程
圖5給出了ESTIM模型的求解過程,可以看出功能相關性計算是整個模型求解過程的基礎。得到各功能之間的相關性,就可以建立故障模式與功能、功能與測試的關系,進而得到測試與故障模式之間的關系,利用測試與故障模式的相關性就可以進行定性分析和測試性參數計算,識別出不可檢測故障、故障模糊組和冗余測試,并計算出故障檢測率和故障隔離率。

圖5 ESTIM模型的求解
2.3.1 功能相關性計算
功能相關性是ESTIM模型進行分析和計算的基礎。通過分析,采用Warshall算法求ESTIM模型中的功能相關性,其算法復雜度為O(n3),與傳遞閉包運算相比,運算過程大大簡化。其程序流程如圖6所示。

圖6 計算功能相關性的算法流程
2.3.2 測試性分析與計算
圖7給出了ESTIM模型進行測試性分析與計算的流程。可以看出在這一過程中,首先要獲得故障模式與測試之間的相關性矩陣DMT,然后才能進行定性分析和定量計算。

圖7 測試性分析與計算的流程
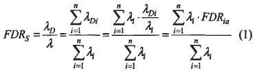
獲得DMT后,根據故障檢測率的定義,可知系統的故障檢測率為:

式中:λi為第i個子模塊的故障率;λDi是第i個子模塊中能夠被檢測出來的所有故障模式的概率之和;FDRia=λDi/λi為第i個子模塊的故障檢測率。
單故障假設條件下,如果系統被檢測到有故障,則以下事件有且僅有一件發生:Ai={子模塊i發生故障},即,

在單故障假設前提下,如果系統的測試集能夠將故障隔離到各子模塊,則由概率論的知識可知,系統的故障隔離率為:

式中:FIRAi為Ai事件發生的前提下系統的故障隔離率,即子模塊i的故障隔離率。
一種電子系統測試性模型的研究與應用(二)
核心關注:拓步ERP系統平臺是覆蓋了眾多的業務領域、行業應用,蘊涵了豐富的ERP管理思想,集成了ERP軟件業務管理理念,功能涉及供應鏈、成本、制造、CRM、HR等眾多業務領域的管理,全面涵蓋了企業關注ERP管理系統的核心領域,是眾多中小企業信息化建設首選的ERP管理軟件信賴品牌。
轉載請注明出處:拓步ERP資訊網http://www.sdyuan.com/
本文標題:一種電子系統測試性模型的研究與應用(一)
























