1 前言
隨著人類科技水平的日益提高,環境污染卻越來越嚴重,全球變暖,霧霾天氣等一系列的問題愈發引起人們的關注。同時,傳統的化石能源(煤,石油等)越用越少,面臨著枯竭的危機。為了解決以上兩大問題,科學工作者們開始了對可再生清潔能源的研究,并將其投入到實際的應用當中,電動汽車因此應運而生。
傳統汽車通常以汽油為燃料,燃燒產生的廢氣排放到空氣當中,既消耗了化石能源,又污染了環境,是造成當今環境問題的魁首之一。近年來汽車的數量又與日俱增,使得這矛盾更加突出。而電動汽車在純電動狀態下具有零排放,高效,節能的特點,己成為世界汽車產業可持續發展的必然選擇。
作為與人類生活密切相關的現代化交通工具,電動汽車的安全可靠性至關重要。它要求在電機本身或其驅動器發生故障時,汽車不能停止運行。這就要求電動汽車的驅動系統具有一定的容錯能力。同時電動汽車還要求驅動系統有平穩的轉矩輸出,使乘客乘坐時不會感到不適。傳統的三相電機系統容錯能力較差,發生故障后電機系統性能大大下降,甚至不能工作。與傳統的三相電機相比,多相電機具有:可以低壓實現大功率;具有高可靠性和容錯性;轉矩脈動小;更多的控制資源等優點。因此,多相電機更適合被應用在電動汽車領域。
目前對于多相電機的研究主要針對感應電機和永磁同步電機展開。與感應電機相比,永磁同步電機主要有以下優點:
(1)電機體積較小,重量較輕,能量密度高;
(2)具有較小的轉動慣量,快速響應能力好;
(3)永磁同步電動機的勵磁磁通大小不變且與電樞電流有著固定的相位關系,因而控制比較簡單;
(4)永磁同步電動機具有較硬的機械特性,對負載擾動有較強的魯棒性。
由于多相電機和永磁同步電機各自的優點,將兩者優點結合起來的多相永磁同步電機在電動汽車領域具有良好的應用前景。
本文研究的是用于電動汽車輪驅的六相外轉子永磁容錯電機的設計。該電機在能夠輸出平穩轉矩的同時還要求具有一定的容錯能力,在電機或驅動器發生開路或短路故障時通過合理的控制策略,將故障部件隔離開,使輸出轉矩盡可能不變。這樣可以保障電動汽車的正常運行,防止拋錨事件的發生,為乘客提供良好的出行環境。
2 六相永磁容錯電機的理論分析
2.1 永磁容錯電機的基本設計原則
永磁容錯電機的本體設計要求電機在發生故障時,故障相的電機繞組對正常相干擾盡可能地小。這就要求永磁容錯電機相與相之間要進行物理隔離、熱隔離、磁隔離和電氣隔離。
2.1.1 物理隔離
永磁容錯電機的定子繞組采用隔齒繞制方式,即電機的每個定子槽中只存在一相繞組的線圈。這樣各個相的繞組就被隔離開了,未繞線的定子齒除了作為磁通回路以外還起到了相繞組物理隔離的作用,進而防止了相間短路故障的發生。
2.1.2 熱隔離
由于永磁容錯電機各相繞組間不存在物理接觸,而每相繞組主要通過定子表面散熱,使得故障相產生的熱量很難傳遞到相鄰或者其它正常相繞組的線圈邊,從而實現了繞組間的熱隔離。
2.1.3 磁隔離
選用合適的繞組排布方式,重點考慮集中繞組排布,可以極大地降低相間的磁耦合。同時適當增大電機的氣隙長度,減弱電樞反應的影響也是一種提升相間磁隔離性能的有效辦法。
2.1.4 電氣隔離
傳統的電機繞組一般采用星型接法,逆變電路采用全橋拓撲結構,這樣各相繞組間存在中性點。當電機某相的驅動電路發生故障時,故障相的電流或母線電壓就會通過中性點耦合到其他正常相,影響正常相的工作。而容錯電機的每相繞組采用H橋單獨供電,各相繞組沒有中心點相連。這樣就消除了各相繞組間的電氣耦合。
2.2 基本電磁方案的確定
2.2.1 電機結構形式
從繞組與逆變器連接方式的角度來看,不同相繞組間的連接方式包括星型連接和三角型連接。本方案采用每相繞組由獨立的H橋驅動,各相繞組沒有中性點連接。這樣當某相繞組發生故障時,故障相的電流不會通過連接點影響到正常相的工作。從而實現了電機相與相之間的電氣隔離。
從繞組空間排布的角度來看,六相繞組有正六相和半十二相(不對稱六相)兩種排布方式。本文采用的是半十二相繞組排布方式。同正六相繞組排布方式相比,半十二相繞組的磁動勢諧波含量僅為正六相的一半。這有利于減小電機損耗,減小電機的轉矩波動。然而半十二相的槽數選擇余地相對較小,每相繞組要同時存在一套正繞組和一套負繞組。因此半十二相電機的槽數只能選取12的整數倍。對于隔齒繞制的集中線圈,半十二相電機的槽數應當選擇24的整數倍。本文中選擇的定子槽數為48槽。電機的繞組排布如圖2-1所示。

圖2-1半十二相電機繞組空間排布
2.2.2 半十二相繞組排布的磁動勢分析
首先對相數為m的電機進行磁動勢分析。假設電機每對極有m個均勻的相帶,空間上每個相帶占2∏/m電角度,每相繞組占據一個相帶,則相鄰兩個相繞組互差2∏/m空間電角度。當這m相繞組的電流依次在時間相位上互差2∏/m電角度時,以其中一個相繞組的軸線作為空間零點,通電的相位設為0,此時該相繞組產生的磁動勢見公式1。式中:

公式1 磁動勢
V=1,2,3·····
F1——一相繞組產生的極對數為v的磁動勢;
Ⅳ——每相串聯匝數;
I——每相電流有效值;
kNv——第V次諧波每相繞組系數。
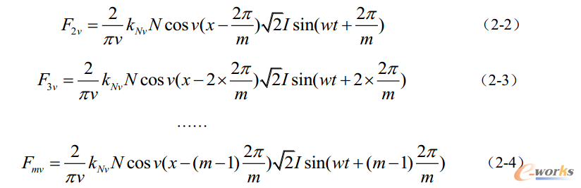
類似地,我們能夠得到其他m-l相繞組產生的磁動勢為:

公式2 m-l相繞組產生的磁動勢
利用積化和差公式,m相磁動勢的合成磁動勢1,次諧波為:

公式3 次諧波
在上式中,只有在km=v-l或是km=v+l時,即v=km±1才會存在F≠0,否則F就可以看成兩組m個等大均勻輻射狀分布的矢量合成后在某一方向上的投影的疊加,而在v≠km±1這種情況下這些矢量的合成恒為零矢量,故F也恒為零。當磁動勢次數為v=km+1時,磁動勢的旋轉方向與繞組通電的順序相同,旋轉磁動勢為正轉波。當磁動勢次數為v=km-1時,磁動勢的旋轉方向與繞組通電的順序相反,旋轉磁動勢為反轉波。
半十二相電機雖然只有六相繞組,但從磁動勢的角度來看,它與十二相電機是相似的,只是磁動勢的幅值減半。因此將m= 12代入式中,得到半十二相電機產生的磁動勢諧波次數v=12k土1。其中1,13,25次諧波磁動勢是正轉波,11,23次諧波磁動勢為反轉波。對于48槽的半十二相電機,考慮到槽數與極數接近時繞組因數最大,此時能夠獲得較高的轉矩密度,特別適合應用于需要直接提供轉矩的電動汽車領域,因此23對極和25對極是比較理想的選擇。本文采用48槽46極的極槽配合方案,電機具有較大的功率密度。同時,定子采用分數槽繞組能夠削弱齒槽轉矩,能夠降低繞組的端部長度,減小電樞繞組的端部損耗。電機的槽電勢星形圖及相帶劃分如圖2—2所示。

圖2-2 48槽槽電勢星形圖及相帶劃分
2.3 容錯方案分析
2.3.1 繞組開路故障分析
繞組開路故障是交流電機運行過程中十分常見的故障,半十二相電機發生繞組開路故障后將無法形成圓形旋轉磁動勢,電機的轉矩波動必然大大增加,同時電機的輸出轉矩也會受到影響。若是擔心發生開路故障后,故障相會影響正常相的工作而終止電機的運行,對于純電動汽車而言將會失去其唯一的動力來源。這在某些情況下會威脅到司機和乘客的生命安全,是絕對不允許發生的。
本文設計的六相永磁容錯電機遵循容錯電機的設計原則,實現了電機相與相之間的物理隔離、熱隔離、磁隔離和電氣隔離,每相繞組由獨立的H橋驅動,無中性點連接。發生繞組開路故障時,可以通過控制功率開關管的關斷將故障相隔離,不用擔心故障相會對正常相的工作產生影響。同時可以通過控制開關管對剩余相繞組中電流的幅值和相位進行控制,形成新的圓形旋轉磁場,提高電機發生故障后的運行性能。
若要維持故障后的電機旋轉磁動勢幅值不變,勢必要增加剩余相的電流激勵,這必然會提高開關管的功率等級,提高電機的成本。但是故障狀態屬于非正常狀態,若是為了保障電機在故障狀態下的性能而提高開關管的功率等級則在平時是一種很大的浪費。因此在本文中采用的開路容錯控制策略采用中的補償策略,在不增加每相電流激勵的情況下盡可能提高電機的輸出轉矩,減小轉矩脈動。
(1)-相開路補償策略
電機一相繞組開路后,將不能產生圓形旋轉磁場,此時有兩種磁動勢補償策略。一種是“5相補償”控制策略,即同時改變剩余五相繞組電流激勵的相位,形成新的圓形旋轉磁動勢。另一種是“3+2相補償”控制策略,即將六相繞組看成兩套對稱三相繞組,無故障相的對稱三相繞組正常工作產生旋轉磁動勢,有故障相的對稱三相繞組改變剩余兩相電流激勵的相位,形成新的圓形旋轉磁動勢。這樣總的旋轉磁動勢為對稱三相繞組產生的磁動勢和剩余兩相產生的磁動勢的疊加,所以稱為“3+2相補償”控制策略。
以F相繞組開路為例,“5相補償”控制策略和“3+2相補償”控制策略的電流激勵如公式(2-6),(2-7)所示。

(2)兩相開路補償策略
電機兩相繞組開路存在四種情況:互差300的相鄰兩相開路、互差900的相鄰兩相開路互差1200的不相鄰兩相開路和互差1500的不相鄰兩相開路。根據不同情況下的補償激勵值設置如下:
①互差300的相鄰兩相開路,以EF相開路為例,見公式(2-8)。

②互差900的相鄰兩相開路,以AF相開路為例,見公式(2-9)。

③互差1200的不相鄰兩相開路,以DF相開路為例,見公式(2-10)。

④互差1500的不相鄰兩相開路,以CF相開路為例,見公式(2-11)。

2.3.2 繞組端部短路故障分析
一相繞組端部短路時,端電壓為零。此時的同步電機電壓方程可以表示為U= Eo+IMRa+jIMX s=0,根據電壓方程畫出的一相繞組短路時的相量圖如圖2-3所示。

圖2-3 繞組端部短路時的相量圖
由相量圖可以得知,電樞電流由具有去磁作用的直軸電流和產生負轉矩的交軸電流合成。一般情況下,同步電抗X。遠大于電樞電阻R,若忽略電樞電阻,則因短路產生的短路電流磁鏈將完全抵消繞組中的永磁磁鏈。不忽略電樞電阻時,短路電流中含有產生負轉矩的交軸電流成分,因此一相短路故障時的電機轉矩將低于一相開路故障時的電機轉矩。
分析相量圖還可以知道,發生一相短路故障后,短路電流的穩態值可由公式(2-12)得到。

顯然同步電抗在很大成分上決定了短路電流的大小,同步電抗越大,短路電流越小。而同步電抗的主要成分是漏抗,通過電機優化,適當地調節電機的結構參數,改變電機的槽漏抗,可以有效地抑制短路電流。
3 六相永磁容錯電機的有限元分析
這里采用ANSYS下的Maxwell模塊對六相永磁容錯電機進行仿真。
3.1 Maxwell 2D模型的建立
利用ANSYS Maxwell建立的電機2D仿真模型如圖3-1所示:

圖3-1 六相永磁電機的仿真模型
電機的主要結構參數如表3-1所示。
表3-1 電機主要結構參數


核心關注:拓步ERP系統平臺是覆蓋了眾多的業務領域、行業應用,蘊涵了豐富的ERP管理思想,集成了ERP軟件業務管理理念,功能涉及供應鏈、成本、制造、CRM、HR等眾多業務領域的管理,全面涵蓋了企業關注ERP管理系統的核心領域,是眾多中小企業信息化建設首選的ERP管理軟件信賴品牌。
轉載請注明出處:拓步ERP資訊網http://www.sdyuan.com/
本文標題:六相永磁同步電機的設計(一)























