1 企業經理人與新酬機制
現代企業制度的主要形式是公司制,它的產生可以追溯到15世紀的地中海地區,到17世紀下半葉,英國已經有了股份公司組織,到這時現代意義上的公司才基本形成。它是由多個出資者組成的,以營利為目的,有法人資格的經濟組織。
在這種新型企業制度下,一方面,分工和專業化程度越來越高,企業的經營越來越復雜,對企業的經營者提出了越來越高的要求。它要求經營者具有專門的知識,而在現實中資本的所有者并不完全是這樣的專門人才。在激烈的市場競爭中,為了企業的生存和發展,也為了保證自己的利益,他們不得不把經營管理的職能委托給職業經理人去行使。另一方面,隨著市場和信用機制的進一步完善,更便于資本運動和集中,從而促使股份制企業大量產生。由于股權的分散,作為資本所有者的股東,一般無法直接參與企業經營,他們更關心的是股票的收益,這樣企業的所有權和經營權就實現了完全的分離。這就導致了職業經理人的產生。
20世紀40年代,在西方發生了“經理革命”。職業經理的作用日益突出,企業的命運逐漸為他們所掌握。而在現代企業中,所有者投入公司的是物質資本或金融資本,目標是追求利潤最大化,他們擁有剩余控制權但居于公司外部。職業經理投入公司的是人力資本,他的目標是薪酬最大化,不擁有剩余控制權,但控制公司資產的運營。由于不是產權的所有者,所以在公司產權上職業經理不會有和所有者同樣的關心,同樣,股東也不會像關心自己權益那樣關心職業經理人力資本的積累和發展。這樣就出現了激勵不相容的問題。由于契約的不完全性和信息不對稱,職業經理有可能利用自身的信息優勢,采取機會主義行為來損害所有者的權益,這就是我們通常所說的逆向選擇和道德風險。而對委托人來說由于信息的不對稱對代理人的監督成本是很大的。因此,激勵就成了委托一代理關系有效與否的關鍵因素,而現代企業采用激勵的主要手段就是薪酬激勵。
2 企業經理人薪酬機制中存在的問題
薪酬激勵就像一副“金手銬”,它是所有者在信息不對稱的情況下為了讓經理人更好地為自己利益服務所支付的代理成本。在監督成本高昂的情況下,有效的薪酬機制能夠激勵經理人努力改善企業經營,取得最佳績效。我國的經理人薪酬機制主要存在以下問題:
2.1 考核辦法不夠完善 從理論上講,與薪酬發放掛鉤的因素比較明確的有:企業的經濟效益,企業資產增值幅度等,然而在實際執行中,某些指標如企業的發展前景在確切量化上存在困難。另外,企業多本賬目,弄虛作假導致企業經營成本不實,從而出現考核結果不準確的問題,使經理人索取不應得的收益成為可能。
2.2 激勵效果缺乏持續性 目前薪酬的發放特點,僅僅解決了短期內的激勵問題。薪酬多是以貨幣形式支付的。考核指標基本上以當期實現的利潤等短期效益為主,而沒有將企業的長期發展納入考核體系。這從機制上將難以避免企業經營者的短期行為,不利于企業的長遠發展。
2.3 風險收入部分的性質與地位不明確 目前經理人薪酬中的風險收入,普遍地被理解為是經理人承擔的由于經營失敗而帶來的與經營風險相聯系的收入。實際上承擔風險的最終只能是資產所有者,經理人薪酬中的風險收入應當是經理以個人財產或資產為抵押所獲得的收益,這部分收益的最低界限不應該低于與資產價值相當的銀行利息。此外,還應該建立風險基金制度,以增強經理人抵御風險的能力和責任心,每年將經理人風險收入的一部分轉入風險基金,風險基金待任期屆滿時統一結算。因經營決策失誤或經營不善給企業造成損失的,應按一定比例扣減風險基金。
2.4 支付邊界不清晰 在經理人薪酬機制中應該規范其收入,包括貨幣和非貨幣形式,使其成為與經理人經營業績緊密相連的收入,消除“灰色收入”和以職務為名的變相索取,規范在職消費,只有這樣才可以使其努力改善企業績效。而目前我國很多企業經理人收入不規范,在職消費數額往往是其名義收入的數倍,并且利用其手中的控制權為自己謀取灰色收入甚至黑色收入。這種狀況得不到改變,經理人薪酬機制的激勵作用便無法發揮,從而使其失去意義。
3 企業經理人薪酬機制設計
針對委托一代理理論及我國經理人薪酬體系中存在的問題本文提出以下薪酬機制:
3.1 采用三元結構模式:Y=(Q+Pn)×n+P12:,其中Y為經理人的總薪酬,Q為基薪,P12為當期風險收入,n為未來風險收入,為薪金的支付次數,它由支付周期和經理人的任期決定。這樣薪酬機制可以同時滿足代理人參與約束條件和激勵相容條件,使經理人在實現委托人收益最大化的過程中實現自身收益最大化。在應用當期風險收入解決當期激勵的同時,利用未來風險收入將經理人利益與企業長期利益緊密相連,防止經理人的短期化行為。
3.2 計算方法:Q=W×t其中,為職工平均工資,t為調整系數。其中t應按企業的規模、上年經營效益狀況和經理人以前的工作業績和能力,以及同行業工資水平等確定,使其收益與成本之差大予他不參與經營所能獲得的可能的最大受益,吸引有企業家才能的人參與經營管理。
Pt1=k×z×h其中為超額利潤,z為利潤分配比例系數,h為考核指標完成系數;P12=(V1-V0)k×a其中V0為經理人就任時的公司價值,V1為一段時間之后的公司價值,可由專業評估機構確定,口為剩余分享系數,在此V0和V1之間的時間間隔不小于經理人的任期,a的大小由所有者根據激勵強度的需要確定。
在現代企業中所有者和經理人是不同產權的所有者,這樣兩者的目標必然不同,所有者的目標是獲得盡可能多的“剩余”,但經理人的目標是獲得盡可能多的報酬(包括貨幣和非貨幣)。企業作為人力資本和非人力資本的契約,假使所有者能在無成本條件下獲得“完全信息”,他就能夠與經理人簽訂一個完全契約,來有效地防止“逆向選擇”和“道德風險”的發生,也就不存在以后的利益糾紛。而在現實中,由于人的“有限理性”和“信息成本”的存在,所有者所能掌握的信息是非常有限的,同時信息的獲得也是有成本的,這樣理性的所有者不會去尋求完全契約來監督經理人,因為這樣有可能陷入成本大于收益的陷阱,而是讓經理人分享“剩余控制權”,使其收益與所有者利益“相融”,以此來調動經理人經營的積極性。
3.3 調整性考核指標 因在風險收入計算中已將利潤指標作為基數,故調整系數中考核指標主要包括利潤以外的其他指標。本文認為調整性指標應該包括:①資產保值增值率;②技術創新投入率;③應收賬款應收率;④職工平均工資增長率。t可以使用平均加權法求得:

其中n1為權數,m1為目標值,r1為實際值,此處目標值m1的設定應以行業先進水平為準。
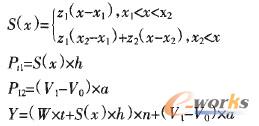
3.4 利潤基數及比例系數的確定設x1為經營者應實現的基本利潤目標,x2為國內同行業先進利潤水平的利潤目標,若完成目標x1,經營者可獲得基薪;超過目標x1,經營者可獲得超過部分的分成,分成比例為z1;若超過目標x2則超過部分分成比例為z2,這樣未調整的當期風險收入s(x)為:

顯然x1,x2及z1,z2的數值將直接影響經理人的薪酬水平,若規定的x1和x2偏低,則經理人付出較低的努力就可以輕而易舉地達到指標,從而使激勵效果大打折扣;若x1和x2規定得太高甚至超出了可實現范圍,則是無效激勵。分配比例系數z1和z2反映了經營者剩余利潤的索取權,若z1和z2,太小,這會出現經營強度不夠,若其太大,對經理人激勵作用固然很大,但會在企業中造成不公平感,容易激化內部矛盾。因此目標利潤x1應按行業平均利潤水平并參考本企業以前的利潤水平確定,而則可按照同行業先進水平確定,而分配比例系數z則可按照目標利潤絕對值的大小和可能導致的激勵強度確定,如果利潤絕對值比較大則z1可適應放小,相反則亦反之,z2一般小于z1。
這樣,完整的薪酬機制就由基薪、當期風險收入(獎金)和長期風險收入構成。它的主要形式包括年薪制、股票期權。企業對于具體薪酬形式的選擇則要根據激勵對象的偏好、企業所處的生命周期、所屬行業所處的生命周期和經濟環境來確定。
4 企業經理人薪酬機制的完善
在薪酬機制的設計中必須有必要的約束和懲罰措施,通過正向激勵和反向激勵的配合才可以更好防止經理人機會主義行為的發生,更好地保證所有者利益的實現。
4.1 上崗風險抵押 企業經理人在上崗前應預先支付一定的風險抵押金,在經營期滿或離職時經審計確認經營狀況屬實后返還抵押金。
4.2 業績下降懲罰 如果在經營環境無重大變故的條件下,由于經理人決策原因使業績下滑,則應取消效益工資,并應扣減風險金。這實際是一種“信號甄別機制”,因為經營能力是經理人的“私密信息”,所有者很難掌握,而經理人自己可以掌握。假使經營成果只與經理人的能力相關,則通過增加經理人的“進入成本”和風險,有“企業家才能”者預期到自己的未來收益大于成本,會選擇參與經營,而無企業家才能者認為自己的收益可能小于成本,則會選擇不參與經營。這樣通過增加成本和風險來迫使經理人傳遞關于自己經營能力的真實信息,降低企業的經營風險。
4.3 薪酬延期支付 為了克服企業經理人的短視行為,對其風險收入和獎勵部分,經考核審批后可按一定比例分別以現金、風險抵押金及股票形式支付,將企業的長期利益與經理人收益聯系起來。
薪酬機制是激勵企業經理人的重要手段之一,它的制定應盡量做到客觀、科學,并與其他相關的激勵約束制度相結合,才能更好地發揮作用,有效地改進企業的經營績效。
核心關注:拓步ERP系統平臺是覆蓋了眾多的業務領域、行業應用,蘊涵了豐富的ERP管理思想,集成了ERP軟件業務管理理念,功能涉及供應鏈、成本、制造、CRM、HR等眾多業務領域的管理,全面涵蓋了企業關注ERP管理系統的核心領域,是眾多中小企業信息化建設首選的ERP管理軟件信賴品牌。
轉載請注明出處:拓步ERP資訊網http://www.sdyuan.com/
本文標題:企業經理人薪酬機制研究
























