0 引言
隨著市場需求個性化、多樣化、快速化程度的不斷提高,OEM(Orignal Equipment Manufactucer)電子產品制造企業面臨的是品種的不斷增多、批量時大時小和生產周期愈加縮短的“不安定”的生存環境。如何以一種相對穩定的生產率、穩定的質量和穩定的作業者應對市場需求的不斷變化,是眾多OEM電子產品制造企業迫切希望解決的問題。
在解決生產穩定性問題上,精益生產方式提出了均衡生產的理念,在汽車生產、煤炭、煉鋼等大批大量生產型企業已有不少成功的案例;國內也有不少學者從事過這方面的研究,鮮有針對電子產品制造的均衡生產方式研究。若將其中的經驗遷移至OEM電子產品制造企業并不適宜。本文將分析OEM電子產品制造的特點,提出一種適合于多品種、中小批量電子產品制造的均衡生產方式。
1 OEM電子產品的均衡生產與汽車類產品的均衡生產的不同點
豐田汽車均衡生產方式,之所以不能直接應用于OEM電子產品的制造,是因為這兩類產品的生產在以下三方面存在較多的不同點:
1)用戶需求方面的不同。由于OEM電子產品的品種更加繁多,造成同一品種的訂單不持續性更加明顯;批量時大時小,造成所需生產能力波動很大;此外,突發性的用戶需求(也稱短期插單)也較多,因此,保證一段時期內生產總量均衡、實施均衡生產的難度更大。
2)適合實施混流生產的工序不同。混流生產是實現不同品種間均衡生產的首選生產方式,特別是對于使用了大型設備的工序。OEM電子產品的PWBA(Printed Wired Board Assembly,印制線路板組裝)工藝階段的多道工序如SMT(Surface Mount Technology,表面貼裝)、自動插裝、波峰焊等,都使用了大型設備,因此,對于OEM電子產品的制造,實施混流生產的工序應該以前道PWBA組裝線為主,而不是最后的本機組裝線。末道的本機組裝線由于不同系列的產品之間結構差異較大,工序間不容易平衡,并不適合采用混流生產。這一點不同于汽車類產品。
3)混流生產的產品單元不同。以SMT工序為例,其生產單位產品的節拍時間(CT,Cycle Time)遠遠小于品種切換時間。這就使得基于“單件”產品的混流生產不太可行,只能是基于“最小分割批量”的混合生產。所謂“分割批量”,是指將計劃生產批量,分割成若干小批量投入生產。
2 OEM電子產品均衡生產方式
2.1 采用預定系統,解決用戶需求不均衡問題
OEM電子產品的用戶需求比汽車類產品更加不均衡。因此,要實現均衡生產,前提是必須對用戶需求進行有效的管理以減少大的波動,這就是采用需求“預定系統”。
用戶需求呈現波動狀態是難免的,但過度的波動是可以避免的。建立需求“預定系統”,可以使用戶受益于等候時間的減少和保證隨時的產品供給,更可以使企業大部分的生產能力得到預先的“均衡”的安排,實現“追蹤策略”和“恒定策略”的相互結合,避免生產能力的過度波動。
企業應該通過預定系統,實現對80%以上訂單的預先確定,減少計劃期內突發性訂單的數量,尤其是突發性大訂單即長期生產周期的插入訂單(簡稱“長期插單”)的數量。
2.2 混流生產與單元生產相結合,實現整個生產系統的均衡化和同步化
OEM電子產品的制造,從PWBA工藝階段到本機組裝工藝階段,不能只采用一種生產組織方式。
1)PWBA階段以混流生產方式為主
盡管OEM電子產品的種類比汽車類機械產品的種類更加繁多,但在PWBA階段的工藝過程大同小異。因此,為了提高作業效率,多道工序使用了大型設備,如表面貼裝工序、自動插裝工序、波峰焊工序等。目前,大多數企業在這個階段的生產方式是采用不同品種間按批量“輪番生產”。然而,這種生產方式帶來的是生產能力的不均衡和在制品數量的居高不下。
筆者認為,在PWBA工藝階段,特別是采用大型設備的工序,非常適合采用混流生產方式來實現同步化的、均衡生產。這是因為:
(1)對于采用自動化設備的工序,其作業的內容和方式是由程序控制的,調用不同的程序就可以實現品種的切換,因此機器切換起來非常方便。
以SMT工序為例,如果能解決物料的快速切換問題,在不同品種間頻繁切換生產是完全可行的,如圖1所示。

圖1 SMTI序的多品種混合生產方式
(2)即便是某些人工裝配工序,例如插裝工序,由于裝配作業項目多,每項作業的時間短,便于進行工序作業內容的劃分,易實現多品種混合插裝線的工序問負荷平衡。
然而,由于混流生產所需要的生產準備更加精細、計劃更加準確周密、管理技術更加復雜,所以并沒有得到企業的廣泛的運用。為此,只需要解決混流最小分割批量、混流生產的管理方式、物料的快速切換方式、計劃外短期插單的處理等主要問題,就可以在PWBA階段實施混流生產。
2)本機組裝階段以單元生產方式為主本機組裝即產成品裝配,多數為人工作業。由于裝配作業項少,作業時間長,特別是某些測試作業的不可分,造成多產品混流生產時工序間負荷不容易平衡,故更適合采用單元制造方式。
2.3 最小混流分割批量的確定方法
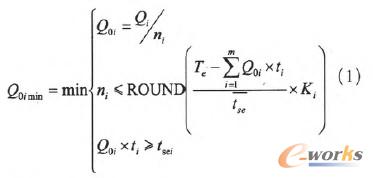
如上文所述,電子產品的混流生產只能是基于“最小分割批量”的混合生產。最小分割批量的大小由三方面因素決定:
1)主生產計劃批量的大小。它決定了混合生產品種之間的數量比例;
2)品種間切換時間的長短。它決定了最小分割量的大小,最小分割批量的生產時間至少應不小于一次切換時間;
3)切換效率,即切換時間占有效工作時間的百分率。一般最好在10%~15%以內。

式中:
Qoi——第i種產品的分割批量,件;
Qi——第i種產品的平均日生產量,件;
ni——第i種產品的日切換次數,次;
m——日生產產品品種數,種;
Te——日有效工作時間,min/天;
ti——第i種產品的工序加工時間,min/件;
tse——加權平均準備時間,min/次。
tsci——第i種產品的切換時間,min/次;
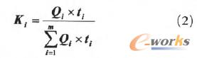
Ki——第i種產品的勞動量比例。

以SMT工序為例,表1為其生產電路板的定額數據。若品種間切換次數取相同,則計算可得:n=2次,最小分割批量分別為QOA=140件、QOB=100件、QOC=50件,切換時間占有效工作時間的百分率=18.8%,偏高。
表1 SMT工序的生產定額數據

若能采取措施,將一部分內部切換時間轉化為外部切換時間,使得內部切換時間由原來的15min/次降低為5min/次,則不僅可以使SMT工序的平均日產量有所增加,而且使得生產更加均衡、高效,如表2所示,切換時間占有效工作時間的百分率為12.5%。以A產品為例,改善前后均衡生產情況如圖2所示,橫坐標為改善后的投產順序。
表2 SMT32序改善后生產數據


圖2 SMT切換時間改善前后A產品均衡生產情況
2.4 混流生產的現場管理方式
混流生產的投產批量和投產順序,必須通過一種有效的管理方式來下達和執行。這種管理方式應做到操作簡單、快速、透明,以方便現場實施。在生產現場設置如圖3(a)所示的均衡柜,是一種非常方便、有效的管理方式。生產管理者按投產順序往均衡柜中插入各產品的分割批量任務單(或看板),操作者從左至右依次抽取任務單(或看板)進行生產。

圖3 均衡柜
2.5 計劃外短期插單的處置
如2.1所述,由于電子產品的品種和用戶的繁多,即便采用了預定系統,突發性用戶需求還是會偶爾發生。因此,在均衡生產過程中必須采取有效的應對措施解決這類問題。
對于批量大、生產周期長的“長期插單”,主要還是通過安排或調整下一期的MPS計劃(Master Production Planning,主生產計劃),來實現均衡生產,不影響當前期的MPS計劃;但對于批量較小的“短期插單”,則必須插入到當前期計劃中完成。在這種情況下,為了不打亂正常生產的秩序,更需要“見縫插針”地安排混流生產。通過臨時性地增加生產能力(例如加班等),以每日生產能力的均衡“微調”,來消解“突增”的一大項能力需求。如圖3(b)所示,在均衡柜中“插入”了兩次D產品的投放,可以通過臨時加班來完成。
3 結論
1)OEM電子產品的制造有其自身的特點,實施均衡生產的方式也會與一般汽車、機械類產品不同,宜在不同工序采用混流生產、單元生產相結合的方式,實現整個生產系統的均衡化、同步化生產;
2)對于實施混流生產的工序,確定最小分割批量的大小是關鍵。本文提出的計算方法是基于生產均衡性和效率兩方面的考慮而制定的;
3)要實施均衡生產,還必須采用一種有效的、方便、透明的管理手段——均衡柜,將分割批量、生產順序等任務信息下達至各工位;
4)電子產品的突發性用戶需求是不可避免的,若要既實現均衡生產,又滿足用戶需求,就必須做好需求預定和短期插單的“消解”兩方面工作。本文中提出的有關這兩方面的解決方案,是切實可行的。
核心關注:拓步ERP系統平臺是覆蓋了眾多的業務領域、行業應用,蘊涵了豐富的ERP管理思想,集成了ERP軟件業務管理理念,功能涉及供應鏈、成本、制造、CRM、HR等眾多業務領域的管理,全面涵蓋了企業關注ERP管理系統的核心領域,是眾多中小企業信息化建設首選的ERP管理軟件信賴品牌。
轉載請注明出處:拓步ERP資訊網http://www.sdyuan.com/
本文標題:OEM電子產品制造的均衡生產方式
























