一、新產品開發階段的工藝設計
壓鑄工藝設計的基本任務是:根據新產品的結構、質量要求,預計的模具狀況、采用材質,以及使用的壓鑄機型號等因素,圍繞提高效率,改善質量,以及增加效益等要求,來制訂工藝方案。壓鑄工藝的設計必須根據壓鑄生產特點和生產的規律性來確定內容和要求。
壓鑄生產是一個復雜的系統工程,工藝控制環節復雜,工藝參數繁多,生產中應盡量減少所有可能影響產品質量因素的波動范圍,只有在各因素穩定的前提下才能談工藝的合理性,否則將不可能獲得穩定的產品質量。壓鑄工藝設計要充分考慮產品的特性要求,根據產品要求設計合理的工藝要求。所有工藝管理內容圍繞如何滿足充型時所需的溫度、速度、壓力等倒推展開。
壓鑄機和壓鑄模組成了一個壓鑄系統,該系統應該具有盡可能大的工藝“適應性”,即調整工藝參數的范圍能夠盡可能大,能適應多變的生產條件,獲得高質量的鑄件。利用P_Q2圖的“窗口”技術,可以對壓鑄進行匹配優化。雖然優化后的壓鑄系統工藝參數的取值范圍得以擴大,但這不是本文所要討論的范圍,本文主要是針對實際生產中那些被忽略的工藝條件作簡要的論述。
1.澆注溫度的選擇
在工藝設計時根據經驗或理論可選擇合適的澆注溫度范圍,但填充時的金屬液溫度是無法直接測量和監控的,只能通過控制保溫爐中的金屬液溫度來實現,然而保溫爐中金屬液的溫度狀態并不代表填充時金屬液的溫度狀態,這就需要控制金屬液離開保溫爐后的熱量損失,特別是在進入壓射室后,壓室充滿度越低,單位時間內溫度下降越明顯,不同的產品還應根據慢壓射速度的不同,選擇適宜的保溫爐溫度。同時選擇慢壓射速度時也必須考慮鋁液的熱量損失和流動性。
2.慢壓射速度的控制
慢壓射速度的控制在現有的壓鑄工藝中并沒有得到足夠的重視,反映在實際情況中就是多數工藝人員設計的工藝卡上無明確要求,操作者不知道如何調整,工藝人員也無法對慢壓射速度進行有效的測控。每次更換模具后,幾乎無人進行慢壓射速度的調整。不過在高端設備和近幾年生產的壓鑄機上都加強了這方面的控制能力。慢壓射速度的調整原則是既不過多地降低合金液溫度,又有利于排除壓室中的氣體。
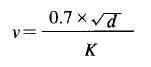
理論計算公式一般采用下式:

式中,v-慢壓射速度;
d-沖頭直徑;
K-壓室充滿度。
其實仔細研究后發現:通過精確的控制,保證充型時金屬液有良好流動性,以及在壓鑄填充過程中,壓射沖頭向前推進的速度大小直接影響鑄件的質量。
如附圖所示,當壓射沖頭在第一階段的運動速度太低或太高時,都不利于壓室中氣體的排出。為有效消除壓鑄件氣孔,在此階段壓射沖頭可采用勻加速運動,即壓射速度由零逐漸增高到一合適值,金屬液在壓射沖頭的推動下,既不會從澆注口濺出,又能形成光滑的波幅將空氣排出,這是獲得優良壓鑄件的前提。因為慢壓階段在鋁液中卷入的氣體和表層氧化皮,將極有可能在充型中后期進入產品內部,那些無法進入渣包的氧化皮或沒有排除的氣體,必將形成較嚴重的內部缺陷。

沖頭慢壓射運動示意圖
影響慢壓射速度的因素如下:
(1)設備慢壓射控制閥的開度大小。
(2)慢壓射的壓力。
(3)壓射沖頭和壓射室之間的阻力,主要考慮潤滑、配合間隙和金屬液流動性。
(4)考慮如何減小壓射開始時金屬液的波動,特別對于壓室充滿度高的產品,較大波動直接可能封閉澆注口,使壓室內氣體不能順利排出。
3.其他參數
關于壓鑄工藝其他參數的設計,各種參考書都給出了不同的經驗值和公式,大家可以根據實際情況選擇、優化,本文只根據實踐經驗為車間管理工藝者提供分析問題的思路,希望大家不要被各種理論束縛,一切從實際出發,用系統的方法,不斷優化自己的工藝文件,盡量使“壓鑄作業指導書”控制到壓鑄生產的每一個細節,向實現各環節“標準作業”或“全自動”生產努力。
二、產品試制階段的工藝驗證及控制
前期設計的壓鑄工藝是否合理,能否適應壓鑄生產的實際情況,還必須通過壓鑄模到廠后的實際生產來驗證。
1.從壓鑄件的質量判定工藝適應性
上述重點關注的慢壓射速度,在實際生產中可采用下述方法來檢查慢壓射速度是否合適。
(1)目前,很多設備有速度曲線顯示,可以很方便地監控每一個工作循環各階段的速度。
(2)對于無速度顯示功能的設備,可采用高精度計時器自制裝置測量、調整慢壓射速度。
(3)最簡單的方法驗證慢壓射階段是否卷氣,就是在生產正常進行時(壓室溫度和金屬澆注量同實際生產一致情況下),在快壓射開始位置使設備停止,待壓室中金屬液凝固后(注意防止未凝固金屬液飛濺傷人),將壓室中金屬棒取出,待冷卻后檢查內部是否卷氣(要注意區分卷氣和鋁液收縮),同時可確認快壓射轉換時機是否合適。
不合適的慢壓射速度對壓鑄件的內部質量影響較大,特別是表現在內部氣孔的分布上,這在驗證壓鑄工藝時應引起重視。
生產中,壓鑄廢品分外觀(表面)缺陷和內部缺陷。外觀缺陷在壓鑄生產過程中就能發現,內部缺陷只有在后道工序才能發現,這都與壓鑄工藝參數有關,因此工藝參數的選擇與穩定非常重要。
在壓鑄件質量的實際判斷時,由于增壓建壓時間是無法測定的,增壓觸發的時機是否正常,對壓鑄件的內部質量影響較大,要生產出內部質量優良的鑄件,就必須使壓鑄機的增壓功能真正起到作用,過早和過晚都不能有效地提高壓鑄件的內部質量。增壓建壓時間過晚,鑄件內部已凝固,對鑄件起不到增壓的作用。故對增壓系統增壓壓力的大小,增壓的起始壓力(即觸發壓力),增壓速度的快慢,以及增壓的起始時間都要進行適當的調節。如增壓起始壓力的調整,增壓起始壓力過小,引起鑄件填充不好,鑄件的表面質量會出現很多問題。若增壓的起始時間過晚,鑄件早已凝固,增壓的作用就沒有了。故增壓起始時間的早晚也是至關重要的。若機器上帶有曲線顯示,調節情況可從曲線上查看。若無曲線顯示,可仔細觀察鑄件的質量來判斷增壓參數的控制情況。
一般情況下,經過計算的快壓射啟動位置在實際中不會相差太大,在此就不再贅述。
2.壓鑄現場工藝控制的主要內容
壓鑄現場工藝控制主要是調動巡檢員和班長的積極性,督促壓鑄工嚴格執行“壓鑄工藝”,通過對工藝的監控保證產品質量;認真按照“巡檢規程”對產品的質量進行檢驗,通過發現產品的不合格狀態,及時發現生產中的各種異常,做出調整,并對所生產產品做出準確的處置。現場工藝的控制要求巡檢員具備發現工藝異常和不合格品的能力;班長具備排查出不合格產生的原因,解決現場問題的能力。班長解決不了的問題由技術人員分析解決,并制訂相應的糾正預防措施;技術人員要及時了解生產中壓鑄工藝的實施信息,且利用這些信息,不斷對壓鑄工藝進行改進和完善。在生產中應切實注意異常情況的發生,稍有不慎可能會造成批量產品的報廢。
三、壓鑄工藝的改進和優化
工藝文件的制訂需要在實際生產中不斷改進、完善。針對每一套模具在不同壓鑄機上生產,都應有最適合的工藝,如何優化工藝,提升生產效率和產品質量是壓鑄車間技術員工作的中心。生產中特別需要重視以下環節。
(1)新產品、新模具試制階段一般要進行三次試制工作。首先,在單件產品尺寸鑒定合格后,進行30 - 50件試制,確認產品性能穩定;其次,進行300件(至少生產一個班次)試制,確認模具生產效率符合生產要求;第三,待上述試制工作完成后方可進行大批量生產。這個階段是檢驗前期工藝設計(設想)的重要環節,所有理論計算得來的數據或經驗數值必須在經過實踐檢驗后才能指導生產,這個階段是對壓鑄技術人員能力的真正檢驗。這個階段是如何利用現有模具,或通過對模具修理改進,生產出合格的產品,制訂出適宜“壓鑄工藝”的關鍵階段。在此過程中也可使用P- Q2圖幫助分析模具和設備的工藝匹配特性,作為指導修理模具的理論依據。
(2)新模具投產的初期,這一過程一般要求在模具生產2000模次內將工藝定型完善,主要調節快壓啟動位置、慢壓射速度、快壓射速度、增壓壓力、增壓起點及鋁液溫度等,使這些因素逐步得到優化。隨著工藝調整的進行,在產品質量達到正常質量標準,以及生產效率達到或優于設計狀態時,就可將現有的壓鑄工藝固化下來,指導壓鑄生產。同時,對生產過程中發現的問題要做出及時更正,這樣才能不斷改善和提升壓鑄工藝的設計水平。
(3)對于生產過程中發生的批量質量問題,應參照“四不放過”的原則,對產品質量事故原因進行分析,屬于工藝設計方面造成的,應及時對工藝進行修正,若工藝沒有規定時,要對“壓鑄工藝”和“巡檢規程”進行審查補充。
特別是當模具進行大修之后再次生產時,必須對壓鑄工藝進行重新驗證。
四、結語
壓鑄車間的工藝管理是一個復雜而系統的工程,需要對各相關人員進行的不斷培訓,嚴格要求,使每個人勝任自己的崗位,立足自己崗位,著眼細節,認真貫徹執行工藝要求,同時制訂完善的管理、考核制度,使工藝管理時刻處于受控狀態。
核心關注:拓步ERP系統平臺是覆蓋了眾多的業務領域、行業應用,蘊涵了豐富的ERP管理思想,集成了ERP軟件業務管理理念,功能涉及供應鏈、成本、制造、CRM、HR等眾多業務領域的管理,全面涵蓋了企業關注ERP管理系統的核心領域,是眾多中小企業信息化建設首選的ERP管理軟件信賴品牌。
轉載請注明出處:拓步ERP資訊網http://www.sdyuan.com/
本文標題:壓鑄工藝管理
























