復雜產品是指客戶需求復雜、產品組成復雜、產品技術復雜、制造過程復雜、項目管理復雜的一類產品,如飛機、船舶,航空器等。復雜產品的研制具有周期長、成本高、風險大等特點,大都以“主制造商-供應商”協同模式進行研制。由于各供應商和主制造商組織機制、管理方式、地理位置的不同,導致主制造商對供應商數據管理困難,尤其當工程更改發生時,難以保證受影響的數據都同步發生更改以保持工程數據源的一致性。以BOM(Bill of Material)為核心的數據模型作為產品數據管理技術的一個重要方面,國內外已有許多學者做了大量的研究,但主要是研究EBOM(Engineering BOM,工程EBOM)和MBOM(Manufacturing BOM,制造BOM)的構建方法,對SBOM(Supplier BOM,供應商BOM)的研究很少;提出了采購BOM的概念,但是僅考慮了批產階段的采購,沒有考慮到研發階段更改頻繁的特點,沒有建立SBOM和供應商相關文檔(如供應商交付要求等)、工藝和資源等的聯系,容易造成更改的不同步。
因此,本文將針對復雜產品協同開發的特點,以EBOM為源頭建立SBOM,并以SBOM為核心建立供應商數據模型,以實現主制造商對供應商數據進行一致性管理,并基于PLM(Product Lifecycle Management,產品生命周期管理)軟件進行了系統開發。
1 EBOM-SBOM轉換基本原理
1.1 SBOM的基本定義
在產品生命周期中,根據產品類型、產品生命周期階段、適用領域或部門等不同,存在多種BOM視圖,如EBOM、PBOM(工藝BOM)、MBOM等。在復雜產品協同開發過程中,主制造商還會根據不同供應商對外協的部件建立SBOM。EBOM從產品的工程設計角度反映了產品零部件的裝配關系和數量,是由主制造商構建的產品數據的源頭,其他BOM都是在EBOM基礎上轉化而來。
在根據EBOM構建PBOM/MBOM的同時,需要對EBOM中頂層供應商協作零部件(外協件)進行重新組合轉化形成SBOM。所謂頂層外協件是指:該結點是外協件;其父結點不是外協件。EBOM中的每一個頂層外協件都對應一個或多個SBOM,即要求供應商按照各自的SBOM及其他供應商相關文檔的要求完成外協件的生產和交付。
1.2 供應商協作零部件分類
由于受產品特點、供應商策略、部件交付狀態等因素的影響,外協件可以分為不同的類型,不同類型的外協件的特點和構建SBOM的過程各不相同。外協件分類如下:
(1)簡單外協件:是由供應商負責設計、制造的外協件。特點是主制造商不在EBOM中對其結構進行細化,因此主制造商不會對簡單外協件創建SBOM。如圖1中C為簡單外協件,無需構建SBOM。
(2)普通外協件:是由主制造商設計、供應商制造的,其EBOM的結構層次、數量關系和對應的SBOM的結構層次、數量關系完全相同的外協件。如圖1中E為普通外協件,其對應的SBOM為E,二者結構層次和數量關系未發生變化。
(3)工藝外協件:是由主制造商設計、供應商制造的,其EBOM的結構層次、數量關系和對應的SBOM的結構層次、數量關系不同的外協件。圖1中D為工藝外協件,其對應的供應商BOM為D1,二者的結構發生了變化拆分外協件:是由主制造商設計、供應商制造,它與前面普通外協件和工藝外協件的區別是,拆分外協件被拆分成了多個SBOM,而普通外協件和工藝外協件只對應一個SBOM。如圖1中F為拆分外協件,外協件F是由6個L和6個M組成的,被拆分成了兩個SBOM,它們分別為F1和F2,具體的數量關系見圖1。

圖1 工程BOM向供應商BOM轉換示意圖
2 供應商BOM模型構建
2.1 BOM模型定義
BOM為樹狀結構,包括零部件結點和結點之間的關系,BOM的表示模型定義如下。
定義一:n為任一BOM中的一個結點,X為BOM視圖的名稱,nX表示XBOM視圖下的任一結點,本文中XBOM表示EBOM、MBOM、SBOM……中的任意一個BOM,節點集合N為產品全生命周期模型中所有BOM視圖中的所有結點集合,NX表示XBOM視圖下結點的集合。表示為:

其中,X表示BOM名稱。
定義二:關系空間R為一個BOM中所有父子關系r的集合(RX表示XBOM中所有父子關系的集合),父子關系r用一個三元組來表示,np,nc分別表示父結點和子結點。表示為:

式中:np∈N,nc∈N,k為自然數。
2.2 BOM各階段視圖演化運算方法
在上面BOM模型定義的基礎上,提出以下BOM間演化運算方法:
(1)復制運算:將某BOM視圖中的一個結點本身及其所有子結點、結點關系三元組和結點屬性完全復制到另一個BOM視圖中新結點的操作。復制運算用符號“→”表示,其表示如下:

其中:

上式表示將XBOM視圖的n1及其屬性,關系三元組,及其所有后代結點的屬性、關系三元組復制到YBOM視圖的n1。
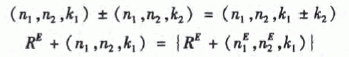
(2)加減運算:當兩個父子裝配關系三元組中的第一個和第二個元素相同時,可以進行加減運算,否則視為集合元素的加減;關系空間R和父子裝配關系的加減運算視為集合元素的加減。加減運算的符號用“±”表示,其表示如下:

上面二式分別表示結點裝配關系的加減運算和集合元素的加減運算,第二個式中的RE表示EBOM試圖中的所有裝配關系元素。
(3)替換運算:用于將關系三元組中的父結點或子結點進行替換,其表示如下:

其中為np需要被替換的結點,nf為替換后的結點,替換運算可以通過關系三元組的加減運算實現。
2.3 供應商BOM模型
從EBOM轉換構建形成SBOM,實際上就是從EBOM中的外協件構建供應商BOM,下面針對不同的外協件類型,提出構建的方法。
簡單外協件:主制造商只需定義接口控制文件,無需定義供應商BOM。
普通外協件:由于供應商BOM中的結構層次和數量關系與工程BOM中的完全相同,直接采用復制運算即可。其數學描述為:

表示將某EBOM視圖中的n結點本身及其所有子結點、結點關系三元組和結點屬性完全復制到SBOM中。
(3)工藝外協件:由于供應商BOM中的結構層次和數量關系與工程BOM中的不完全相同。首先采用復制操作,然后根據實際情況采用加減或替換運算完成SBOM的構建。下面以圖1中的工藝外協件D為例進行說明:

將工程BOM中的D結點復制到SBOM中的D,結點;

根據實際情況做加減運算,完成SBOM的構建。
(4)拆分外協件:對于拆分外協件n,首先采用多次復制操作,復制的次數等于要拆分的SBOM的數目,然后根據每個SBOM的實際情況采用加減或替換運算。下面以圖1中的拆分外協件F為例進行說明:

復制得到第一個SBOM,設定該SBOM裝配空間為R1;

根據實際情況做加減運算,完成第一個SBOM的構建。

復制得到第二個SBOM,設定該SBOM裝配空間為R2;

根據實際情況做加減運算,完成第二個SBOM的構建。
在構建SBOM時,需要首先判斷外協件的類型,然后針對不同類型的外協件采用不同的方法。對于工藝外協件和拆分外協件,需要根據實際情況進行加減或替換運算,因此需要人機交互。
3 以SBOM為核心的供應商數據管理
復雜產品協同開發的一個重要特點是工程更改頻繁,為了保證受影響的數據與工程數據的同步更改、維護產品數據的一致性,建立了以BOM為核心的數據關聯模型。
圖2建立的是零部件結點的BOM模型。產品生命周期中有多個BOM,每個BOM中的的一個零部件結點有多個版本。為了便于管理,將某結點在一個BOM中的多個版本抽象成一個概念一視圖(View),將該結點的多個視圖抽象成一個概念-主零件(Master Part)。為了簡便,圖中僅列出了兩個視圖-工程視圖和供應商視圖,每個視圖僅列出了兩個版本-A版和B版。一個視圖下的某個版本的零件經過工程更改演變成該視圖下的另一個版本,經過BOM轉化得到另一個視圖下的一個新的版本。因此采用這種方式,不僅可以很清楚地顯示不同BOM中不同版本的區別,還能夠建立并顯示它們的聯系。這樣,當發生工程更改時,可以根據BOM轉換時建立的聯系找到其他BOM視圖(本文主要是SBOM視圖)中關聯的結點,對其更改完畢還可以更新和維護更改后結點的關聯關系。

圖2 以SBOM為核心供應商數據模型
當發生工程更改時,可以通過上面建立的聯系找到SBOM中與更改對象相關聯的零組件,但是仍然無法確定具體的更改對象,即確定更改的文件。為了解決這一問題,本文提出了以SBOM為核心的數據管理方法,建立了BOM的任一結點、與該結點有關的各類文檔、工藝和資源的關聯。圖3為建立的供應商數據模型。

圖3 供應商數據關聯模型
根據此數據關聯模型,對SBOM中的任一零組件可以查找到與此零組件相關的所有文檔、工藝、資源等。這樣,當EBOM中的某個文檔或零組件發生更改,通過BOM之間的關聯關系,找到SBOM中相關的部件,然后通過供應商數據模型,查找到與供應商BOM中零部件關聯的文檔、工藝、資源,并判斷其它們否需要更改,從而能夠保證更改的同步,維護產品數據的一致性。
4 應用
某飛機制造公司采用“主制造商-供應商”模式。是某型號飛機研制的主制造商。公司的PDM平臺上存儲有大量的與供應商相關的數據,但是它們與BOM之間沒有聯系;當更改發生時,無法自動提示更改的可能的影響對象,缺乏對供應商數據的控制。本課題組在PLM軟件平臺Winchill的基礎上做了二次開發,利用本文提出的BOM演變建模方法,實現了工程BOM到供應商BOM的轉化和管理,BOM轉化模塊中建立了EBOM視圖和供應商BOM視圖,定義了EBOM中外協件的類型,對不同的類型的外協件完成從EBOM到SBOM的轉化,圖4為工程BOM到供應商BOM的轉化頁面。

圖4 工程BOM到供應商BOM的轉化
除BOM轉化模塊外,還建立了以SBOM為核心的數據組織模型,該模型與各階段BOM、工程/工藝/供應商交付等相關文檔建立了關聯關系,圖5表示了SBOM和工藝、資源等的聯系。在發生工程更改時,會根據建立的關聯提示可能受到影響的數據對象,以保證所有受影響的對象發生同步更改。

圖5 供應商相關數據之間的關聯影響
5 結論
復雜產品開發過程中對供應商數據的協同管理直接影響產品開發的效率和質量,本文以主制造商創建的EBOM為源頭,針對不同類型的外協件,提出了供應商BOM的構建方法,建立了以供應商BOM為核心的數據模型,并基于PLM軟件進行了系統開發,解決了產品研制工程中更改頻繁,難以快速定位和管理受影響的供應商產品數據對象等問題,對保證產品數據的完整性和一致性有重要作用。目前該系統已經應用于某飛機制造公司對供應商數據的管理,已取得良好的效果。
核心關注:拓步ERP系統平臺是覆蓋了眾多的業務領域、行業應用,蘊涵了豐富的ERP管理思想,集成了ERP軟件業務管理理念,功能涉及供應鏈、成本、制造、CRM、HR等眾多業務領域的管理,全面涵蓋了企業關注ERP管理系統的核心領域,是眾多中小企業信息化建設首選的ERP管理軟件信賴品牌。
轉載請注明出處:拓步ERP資訊網http://www.sdyuan.com/
本文標題:面向復雜產品協同開發的供應商數據建模技術
























