近年來應用仿生技術改善風機氣動性能成為最有效的途徑之一。在軸流風機仿生翼型葉片優化研究中,葉片的3D實體建模需要解決將提取到的鳥類翼型截面數據轉換成沿徑向圓柱面上的三維坐標問題。楊春信和田彬等將普通葉片截面平面直角坐標到空間坐標的轉換過程編寫成程序,但沒有介紹具體方法步驟,也沒完全公開程序,無法知道其正確性。苑國強等只對輪轂為圓錐形的混流風機葉片截面參數進行了坐標轉換,方法較為復雜且通用性不強。任臘春研究了風力機葉片設計和建模方法,但都不適用于軸流風機葉片設計。隨著風機葉片仿生優化研究的不斷深入,仿生葉片的3D建模成為葉片仿生優化分析的首要難題。本文通過坐標系變換推導出軸流風機葉型截面的平面直角坐標到空間三維坐標的轉換公式,借助數據處理軟件EXCEL和三維建模軟件CATIA來實現某普通軸流風機葉片參數化模型的建立,并對實體模型進行了CFD分析,對比計算結果與設計性能要求,證明葉片參數化建模方法的正確性。
1 坐標轉換
1.1 二維轉換
根據軸流通風機基本理論,分別以r和r+dr為半徑從葉輪上截取一個圓環,并將其展開到平面上得到平面直列葉柵。圖1所示的是其中一個葉型截面,每個葉片可以看作是從輪轂到葉尖由無數個葉型截面疊積而成。葉片的三維造型需將已確定葉片安裝角為θ的翼型繞回到相應半徑的圓柱面上,為改善葉片受力情況,將各計算截面的翼型重心都放在同一徑向線上,用光滑曲線連接各截面后生成曲面。

圖1 葉型截面
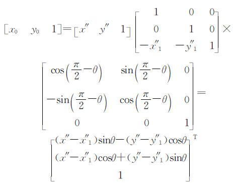
如圖2所示,翼型離散點坐標是以翼型前緣點為原點,弦長方向為X軸,過前緣點與X軸垂直的方向為Y軸建立的坐標系(X"O1Y")下給定的。為保證葉型截面疊積時重心都在同一徑向線上,翼型上的點需轉換成以翼型重心為原點建立的坐標系(XoOoYo)下的坐標表示。XoOoYo坐標系是由X"O1Y"經過平移到X'/O0Y'后再順時針旋轉π/2-θ得到。則翼型上任意一點P(x",y")在XoO0Yo坐標系下的坐標為


圖2 葉型截面二維平面坐標系轉換
1.2 坐標空間映射
設圓柱面半徑為r,建立如圖3所示空間坐標系OXYZ,Y軸過Oo并垂直于平面坐標系XoOoYo,Xo軸與Z軸平行并在圓柱側面內。截面翼型從Xo軸開始向兩側繞裹柱面,XoOoYo下翼型上任意一點P對應著柱面上的P'點。P'點的空間坐標計算式為


圖3 坐標空間映射
2 軸流風機參數化建模實例
2.1 軸流風機氣動設計計算
選用文獻中按△Cu=a變環量流型設計的軸流通風機,其全壓為140Pa,流量為2.17m3/s,介質為空氣,標準進氣狀態,選用單級R級型式,轉速n=1450r/min,葉輪直徑D=0.5m,選用輪轂比d=0.35,葉片選用圓弧板翼型,選取葉片數2=4,將整個葉片分成5個計算截面,幾何特征尺寸見表1,詳細計算過程見文獻。
2.2 軸流風機葉片參數化建模
根據計算所得的葉片寬度和圓弧板翼型半徑,畫出平面圓弧翼型。考慮葉片等厚,只需將圓弧翼型上表面離散成點(本文簡化為5個離散點),并計算出上表面圓弧重心,以重心為原點建立平面直角坐標系,得出各離散點平面坐標,用前面描述的方法,借助EXCEL軟件依次求解5個截面上各離散點的空間坐標。截面I數據轉換的計算結果如表2所示。求解得到的各離散點空間坐標保存成.txt格式文件,導入CATIA軟件,對這些離散點數據進行擬合,得到曲線,再形成光滑曲面,加厚轉換成葉片實體,通過繞輪轂旋轉陣列單個葉片得到整個風機,如圖4所示。
表1 葉片截面幾何尺寸

表2 葉片截面I計算數據


圖4 軸流風機三維實體模型
3 數值模擬與比較
為檢驗葉片參數化建模的準確性,對風機實體模型采用FLUENT軟件進行氣動性能初步分析。建立數值風洞模型時考慮自然進風和出口區流體充分混合,可采用加長進出口管道和加大管道直徑方法,本文參照標準風機性能試驗臺建立數值風洞,如圖5所示。

圖5 數值風洞模型示意圖
采用GAMBIT分區劃分網格,進口區和出口區采用六面體網格,葉輪區采用結構化/非結構化混合網格,并對葉片表面網格加密處理。網格質量檢查合格。主要邊界條件為:壓力進口(總壓=0Pa),壓力出口(背壓)。采用旋轉坐標系模型(RRF),氣體按不可壓縮,忽略重力對流場的影響,采用RNG k-ε模型,SIMPLEC算法和二階迎風格式離散。在1450r/min轉速、背壓為0Pa條件下計算最大流量為2.68kg/s,即2.23m3/s,接近設計值2.17m3/s,誤差小于3%,計算收斂曲線見圖6。考慮設計計算本身誤差,認為計算結果較準確,軸流風機葉片參數化建模方法正確。

圖6 分析結果
4 結束語
通過對軸流風機葉片幾何分析,建立了葉型截面平面坐標到風機三維坐標的轉換方程。對設計的某軸流風機葉片采用CATIA進行了參數化建模,并借助流體分析軟件FLUENT數值分析得到最大質量流量為2.23m3/s,接近設計目標值2.17m3/s,誤差小于3%。數值模擬結果和設計要求十分吻合,證明葉片仿生參數化建模方法的正確性。本文側重于探索翼型坐標轉換方法,對實例風機只進行了數值模擬,沒有進行性能試驗,僅為下一步風機葉片仿生翼型優化設計研究打下基礎。
核心關注:拓步ERP系統平臺是覆蓋了眾多的業務領域、行業應用,蘊涵了豐富的ERP管理思想,集成了ERP軟件業務管理理念,功能涉及供應鏈、成本、制造、CRM、HR等眾多業務領域的管理,全面涵蓋了企業關注ERP管理系統的核心領域,是眾多中小企業信息化建設首選的ERP管理軟件信賴品牌。
轉載請注明出處:拓步ERP資訊網http://www.sdyuan.com/
























