1 研究背景和意義
當今知識經濟時代,裝備維修管理面臨著變革管理模式以適應新經濟環境的問題。隨著科學技術的不斷發展,信息技術大量運用于裝備制造業,以高新技術為主要特征的現代裝備,正朝著集成化、大型化、高速化、自動化和技術精密化等方向發展,其結構越來越復雜,功能越來越完善,自動化程度也越來越高。但裝備的計劃、設計、使用、維護、修理等所需的裝備管理體制與技術水平卻不相適應,依舊停留在傳統的維修管理階段。
長期以來,盡管學術界對知識管理的討論沸沸揚揚、如火如茶,但大部分都將重點放至企業管理范疇,而對裝備采辦及維修保障活動卻鮮有關注;反之,我國大型裝備維修保障服務信息化管理在設計和制造階段研究成果頗豐,維修和維護階段的信息化研究并未得到充分的重視,而鮮有人從知識管理的角度來對之進行研究和探索。高技術大型裝備陸續研制成果,有關裝備的使用、管理、維修、退役、報廢等方面的知識日益增多,而對裝備維修保障服務的要求也不斷提高。隨著裝備保障服務要求的增加,一方面,裝備維修難度日趨增大;另一方面裝備維修知識大量涌現,客觀上也要求必須大力加強裝備知識管理。大型裝備MRO(Maintenance,Repair and Operatlons)即裝備的維修、維護、運營管理不同于一般的裝備MRO管理。一般的武器裝備結構簡單,管理活動相對比較單一,而現代高技術大型裝備的技術、結構十分復雜,使用和維修這些高技術裝備,需要掌握多方面的知識和經驗。如果對這些裝備知識不加強管理,實現知識共享,則裝備維修(維護)人員就很難在一定時間內熟悉并掌握相關知識,從而影響高技術大型裝備效能的發揮。
如何通過科學保障,提高有限資源的使用效益;如何從知識管理角度對大型裝備MRO進行創新管理,已經成為世界各國普遍關注的、又較難解決的重大課題。加強大型裝備MRO的知識研究,對大型裝備運行進行科學有效的管理,建立裝備運營知識共享系統,以獲得質量、成本、速度及可維修性、可靠性等競爭優勢,提升裝備保障能力,是知識經濟時代的必然選擇。
2 大型裝備維修保障服務研究現狀
裝備維修保障服務管理是為了實現裝備維修的目的,應用各種現代管理科學的理論與實際方法對裝備維修工作進行的指導、組織、指揮和控制等一系列的活動。
20世紀70年代,維修工程、維修性工程等理論的發展與成熟使得美國從根本上改革傳統的大型裝備維修保障服務。同時啟動的CALS(計算機輔助后勤保障)項目,試圖解決武器裝備發展和技術復雜程度增加帶來的裝備技術文件多、數據獲取難和維護費用過高等問題,加快裝備及其備件的采辦、維修速度,降低國防開支,提高武器裝備的可靠性和戰斗力。我國裝備維修保障信息化建設起步較晚,20世紀80年代開始對維修理論、維修管理、維修技術進行全面改革,并迅速地開始工作。盡管我國裝備維修保障在管理模式上發生了巨大的變革,但部分機構對裝備維修工作仍以手工管理為主,輔以簡單的數據庫相結合模式,存在裝備維修信息收集時間長、統計匯總速度慢、分析方法滯后、資料保管手段落后,查詢跟不上等諸多問題,迫切需要一個完整獨立的管理系統進行全方位多維度的管理。
裝備MRO管理是通過協調維修過程中的關系以及人力、物力、財力的分配,充分利用信息、時間、空間,對維修過程各個環節進行預測、調節和檢驗,增強了裝備維修系統的功能,為保證最佳的維修效果和取得最優的管理效益打下基礎。它不僅需要像美國CALS項目那樣涉及裝備備件的采辦以及裝備全壽命信息的支持,且還需要裝備全系統全壽命周期過程的知識管理。
3 研究方法和內容
3.1 研究方法
本文注重理論方法和實踐應用相結合,采用的主要研究方法包括文獻調查法、比較研究法和原型系統法等。其中,文獻調查法主要用于通過對大型裝備維修保障領域相關專業資料的閱讀和理解,抽取重要概念術語用于大型裝備MRO領域知識分類和大型裝備維修領域本體的構建和填充。比較研究法主要用于分析和比較現有裝備維修系統的相關形式模型、分析不同建模技術的思想和原理、分析領域知識本體的不同構建方法等。原型系統法,即通過開發文獻資源加工、知識獲取、知識倉庫構建模塊以及基于Web Services的大型裝備MRO知識管理系統等來驗證相關技術方法的集成和可用性。
3.2 研究內容
本文將知識管理應用到大型裝備MRO管理中,處理大型裝備MRO服務過程中所獲取的知識數據,建立相應的裝備MRO知識倉庫和知識地圖,對各種裝備維修、維護、運營信息合理分類、準確定位,挖掘已存儲的知識,以全系統、全壽命周期的多維度視角加以利用并進行知識交流,從而研究大型裝備MRO知識管理系統體系結構。主要研究內容如下:
(1)運用集成信息系統結構的思想,從組織人員、知識內容、業務流程與信息技術4個層面構建裝備MRO知識管理系統的體系結構。
(2)從裝備維修、維護、運營3個服務層次進行知識分類,建立大型裝備MRO知識倉庫和知識地圖,改進搜索策略,提高搜索速度。
(3)探索知識發現在裝備MRO知識管理中的應用,使用回歸預測算法著重研究裝備MRO知識管理系統的知識挖掘和預測建模。
(4)實現裝備MRO的知識共享,增加了知識可利用性,提高裝備維修效率,縮短裝備維修活動的反應時間和維修周期。
4 大型裝備MRO知識管理系統研究
4.1 大型裝備MRO知識管理系統體系結構
裝備MRO知識管理是以大型裝備為主要對象的知識管理系統,我們從裝備維修、維護、運營3個服務層次,為不同的組織單位建立互相兼容的裝備MRO知識管理系統。在建立系統時,構建一個共享數據倉庫和各單位單獨的業務數據庫,各單位之間通過Web Services技術來實現裝備MRO知識共享。初擬基于Web Services裝備MRO知識管理系統體系結構如圖1所示。

圖1 大型裝備MRO知識管理系統體系結構
4.2 大型裝備MRO知識管理系統的知識獲取
知識獲取是構建知識倉庫的首要任務,獲取完整正確的裝備MRO知識是實現裝備MRO知識存儲和共享的前提。
知識分為顯性知識和隱性知識,因此我們從兩方面進行裝備MRO知識獲取。一方面,針對顯性知識即對現有的裝備設計數據、試驗數據以及現場使用保障數據等,通過人工獲取方式,對其進行抽取歸納、整理、分類等,從而得到其中的顯性知識,或將隱性知識顯性化,最終通過數據庫管理軟件SQL Server進行數據錄入存儲。另一方面是對隱性知識的挖掘和捕獲,如研究部門或雇傭專家在內部創造和開發過程中獲得的經驗、創新及裝備使用過程中用戶的反饋信息進行歸類、分析和提煉,由知識工程師負責采集、分析、驗證并獲取有效知識,建立合適的知識模型。
由于隱性知識難以表述的經驗且需要通過溝通交流才能獲取其有效知識,我們利用提出的基于企業業務循環的知識獲取方法與領域專家交談相結合的人工知識獲取進行隱性知識獲取。
首先,通過分析裝備MRO過程中的關鍵業務流,確定業務流中涉及的主要知識點,其次針對性訪問相關專家人員,描繪裝備MRO知識需求的知識歷程圖,從而獲得裝備MRO的專家技能、經驗等重要知識內容。但是這樣獲得的知識大多是繁雜的知識信息,不夠確切、精煉,因此為使獲取的知識更準確、通用,知識工程師在得到知識歷程圖后再與相關領域專家交談,定義問題領域的主要概念及其概念間關系,確定出問題領域的關鍵詞,然后再針對問題的交談記錄按關鍵詞過濾,去除問題的無關知識,過濾過程引用空間矢量模型:
設Qi=(ai1,ai2,…,aim)表示交談訪問記錄中的第i個問題,Ai=(bi1,bi2,…,bim),表示對第i個問題的回答(i=1,2,…,n),aij(bij)表示第i個問題(回答)是否含有關鍵詞集K(K1,K2,…,Km)中第j個關鍵詞匯,若有,則aij(bij)=1;否則aij(bij)=0。通過求:

利用上述公式(1)來判斷其是否大于給定的過濾閾值,來判斷一個問答對QA,是否含有足夠與問題領域相關的關鍵詞。若大于給定的過濾閾值,則說明有足夠的關鍵詞,可以根據領域關鍵詞保存入庫;若小于等于給定的過濾閾值,則說明沒有足夠的關鍵詞,此問答對可以過濾去除。
4.3 大型裝備MRO知識管理系統的知識存儲
知識存儲是知識管理過程中的關鍵環節。對已有的裝備MRO數據和海量化的網絡資源進行精簡、提取,按照一定的結構序化,集中存放裝備MRO領域的顯性知識和知識專家或工作人員挖掘、提取并顯性化的隱性知識,從而構建支持知識創建和共享的大型裝備MRO知識倉庫,提供方便的裝備知識門戶,讓裝備決策、管理及使用人員在最需要的時候能夠獲得自己最需要的知識。
本文采用基于本體的知識倉庫。知識工程師利用大型裝備MRO知識本體結構定義創建一個本體類概念,并列出其關鍵字和摘要;知識倉庫通過本體的協助,可以判斷出所存儲知識的范圍(如裝備維修類、裝備維護類或裝備運營類),以此對其進行分類。同時一個本體給出該類中各個數據實體和知識本體元素的關系,通過關鍵字,便可查詢本體中的相應數據實體,由此可以找出與該數據實體相關的信息。計算機再根據這些信息可以在知識倉庫中檢索出用戶所要搜索的信息。
由于知識庫中加入了知識元素的背景知識,而不僅僅記錄有關內容,所以知識庫還需考慮在一般的文檔管理系統之上加入基于知識元素的復雜查詢和用戶個性管理功能。本文采用層級搜索,用戶根據需要進行維護、維修或者運營的知識搜索,通過樹狀結構,結合關鍵字,快速給出相關解決方案或數據。
4.4 大型裝備MRO知識管理系統的知識利用
本文將根據現有知識倉庫中的裝備保障數據以及裝備維修記錄,引入裝備役齡遞減因子,利用多目標規劃法建立了裝備服務維修周期的預測模型,在預防性維修成本最小,滿足裝備可用度約束的情況下合理預測裝備預防性維修服務周期,從而根據預測所得維修周期制定問題診斷方案、裝備維修方案以及裝備組裝運營方案。
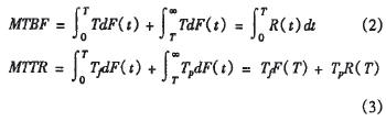
設定—個維修周期T,計算在T時間內裝備系統的平均故障間隔時間(MTBF)和平均修復時間(MTTR),分別表達為公式(2)和(3):

式中Tf—平均故障維修時間;Tp—平均預防維修時間。
所以裝備可用度A(t)可表示為:

在單位時間內裝備維修的總費用為:

式中Cf—事后故障維修費用;CP—預防性維修費用。
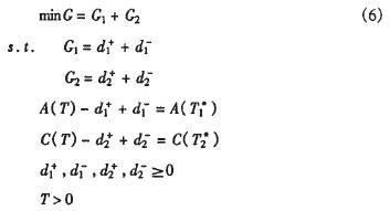
采用多目標規劃的理想點法建立如下模型:已知T1*、T2*分別為兩個目標函數的最優解,即對于任一維修周期t,都有A(t)≤A(T1*)和C(t)≥C(T2*)。假設d1+、d1-分別表示與A(T1*)的正、負偏離變量;d2+、d2-分別表示與C(T2*)的正、負偏離變量,建立最優目標模型,使得A(T)與A(T1*)的偏離、C(T)與C(T2*)的偏離都最小:

利用單純形法即可解出T以及d1、d2,所得解T有兩種情況:
(1)T為絕對最優解。即T=T1=T2,這表明在現實可行的的情況下,T是最接近理想情況的維修周期,即最接近于以最小的費用保證最大的可用度。
(2)T為有效解。這表明在現實可行的情況下,不存在同時滿足最小維修費用和最大可用度原則的維修周期T,但是至少滿足其中的一個條件。這時決策者可根據實際情況的不同而采取相應的最優解。
4.5 大型裝備MRO知識管理系統的知識交流
知識存儲與利用都是服務于用戶,使得用戶之間能夠更好的進行知識交流,從而碰撞出新的知識火花,進行新一輪的知識轉化。與知識存儲和知識利用等知識管理手段不同,知識交流主要是通過互聯網的通信機制和群件直接協助用戶以及知識工作者之間的同步或異步交流和合作。
大型裝備MRO知識管理系統為了使用戶與專家之間能夠進行多方面的互動,裝備MRO知識進一步實現交流共享,本系統擬從同步溝通與異步溝通兩方面設計構建點對點視頻系統、主題聊天室以及BBS論壇和E-mail等系統模塊。
5 結語
大型裝備MRO知識管理系統是一個較復雜的系統,涉及范圍廣,開發難度大。本文力圖從簡便人手,從知識管理的角度研究大型裝備MRO服務所涉及的主要裝備知識,將知識獲取、知識存儲、知識利用、知識交流作為本文分析內容,最終要求實現裝備MRO知識共享。但此次研究對裝備維修決策支持系統的研究工作是初步的,主要對維修方式的選擇、定期維修模式下預防性維修周期的制定做了一些探索性的工作,對狀態檢修維修、事后維修模式下的裝備維修并沒有涉及,今后還需進一步研究探索。
核心關注:拓步ERP系統平臺是覆蓋了眾多的業務領域、行業應用,蘊涵了豐富的ERP管理思想,集成了ERP軟件業務管理理念,功能涉及供應鏈、成本、制造、CRM、HR等眾多業務領域的管理,全面涵蓋了企業關注ERP管理系統的核心領域,是眾多中小企業信息化建設首選的ERP管理軟件信賴品牌。
轉載請注明出處:拓步ERP資訊網http://www.sdyuan.com/
本文標題:大型裝備MRO知識管理系統研究
























