1 概述
Web服務工作流技術主要解決如何定義參與流程的各個服務之間的邏輯和時序關系,從而實現復雜Web服務執行的自動化,并實現服務組件之間的動態交互、協調和狀態保持等問題。利用其跨平臺、松耦合等特性,引入到應急管理領域,對各個應急服務進行封裝發布,可以解決應急聯動框架內存在的信息孤島問題。
但在服務注冊中心,滿足特定功能要求的Web服務可能會有多個,導致流程中的活動節點不能夠綁定到具體的Web服務,同時隨著信息技術的發展,提供的服務也越來越多,對于用戶而言,在應急聯動框架內使用傳統的服務匹配模型,從一堆服務中選出合適的服務已不能滿足現在的需求,針對這一問題,基于建立的突發事件領域本體,考慮采用邏輯工作流到可執行工作流的映射模型、概念語義相關度算法,對流程節點進行服務匹配和服務推薦。
本文將Web服務引用到應急管理領域。使用邏輯工作流到可執行工作流的映射模型來完成應急業務流程的服務綁定,最后使用語義相關度算法對流程節點進行服務匹配和推薦。
2 應急Web服務的發布
Web服務技術在整合各個聯動部門信息系統上具有跨平臺、跨網絡、易于維護和擴展等優勢。應急處置部門所能提供的功能以Web服務的形式發布有2種方法:(1)通過對該部門所涉及的具體業務進行分析,針對具體部門重新進行基于Web的軟件開發,替換掉已有的系統;(2)在已有的系統軟件組件上添加一層Web服務包裝器,從而可以把已有的系統業務發布成Web服務。第(1)種方法的實現總體上思路簡單,但如果對所有信息系統都進行重構,不能有效利用現有系統資源、代價會非常高。第(2)種方法的實現則需要對原有系統源代碼進行研究,找出具體業務的調用接口,然后再利用Web服務開發框架把這些采用不同編程語言實現的接口進行Web服務封裝,這種方法顯然可以充分利用現有的信息系統,并且花費的成本也相對較低。采用這種方法對現有信息系統業務進行封裝的過程如圖1所示。
眾多應急Web服務在封裝后要統一發布到服務注冊中心,其存儲可以使用二維表來實現,同時服務使用方也可以通過注冊中心進行服務查詢等操作。
應急業務要求系統具有及時性,為保證服務注冊中心所存儲的wsdl文檔及其描述信息是與服務提供方信息系統中的數據是實時同步的,則需要數據同步技術。傳統的用于實現不同數據庫服務器間數據同步的方法是使用數據庫產品自身自帶的數據同步功能,但這種方法只能限于同類數據庫產品間進行,兼容性較差。采用Web服務技術可以實現服務注冊中心與服務提供端的信息系統實現數據庫的內容同步,能有效屏蔽不同數據庫之間的差異,實現各系統間的信息同步。

圖1 采用服務封裝器進行Web服務發布與維護的過程
3 應急業務流程的服務綁定
突發事件在處置過程中,往往有多個處理環節,各個處理環節之間一般存在著滿足業務流程特點的關系(如順序、分支、聚合等)。通過研究現有應急預案發現,目前應急預案中對處置流程的定義仍僅局限于規定某些部門的任務,并沒有形成一個適合于計算機處理的業務流程定義信息。本文把各個應急處置部門的應急業務發布為Web服務后,通過業務流程管理技術進行處理。但是在服務注冊中心中,滿足特定功能要求的Web服務可能會有多個,導致流程中的活動節點不能夠綁定到具體的Web服務,在此使用邏輯業務流程到執行業務流程的映射方法來實現綁定。
邏輯業務流程是指組成處理流程的各個節點綁定的不是具體的Web服務,而只是對服務的功能性和其他非功能性參數的描述。可執行業務流程是指在邏輯業務流程的基礎上,針對每一個活動所要求的服務分類從資源中動態地查找候選的服務實例集合,然后再對候選集合進行篩選,進而為每一個活動綁定具體服務實例,組成服務工作流。
邏輯流程到可執行流程的映射可通過流程匹配、服務發現、服務選擇和服務綁定4個功能模塊來完成,如圖2所示。

圖2 邏輯工作流到可執行工作流的映射模型
在這個過程中,邏輯工作流的匹配可通過規則引擎來完成,經服務匹配后完成服務的綁定。
4 流程節點的服務推薦
在上述邏輯流程到可執行流程的映射模型中,服務匹配中的輸入參數是通過對流程節點的解析所得到的每一個活動節點對服務的功能要求和非功能性描述要求。
本文的匹配推薦過程分為2個步驟:(1)基于概念相關度的服務匹配;(2)基于非功能性描述參數對服務進行再次篩選、推薦。
4.1 基于概念相關度的服務匹配
本文采用計算概念語義相關度的算法,同時針對所構建本體的特點對算法進行了必要的參數調整。算法核心內容如下:
(1)本體概念圖中語義關系權值的確定
通過考慮概念在本體網絡中所處的局部密度、本體同有的關系和用戶自定義關系、概念在本體層次網絡中所處的深度來確定。由于概念之間的各種關系在反應概念之間的關系時重要性不同,因此可通過對每個邊賦予不同的權值來表示關系的重要程度。本文用1-n表示權值,如表1所示。
表1 突發事件領域本體中關系權值定義

權值越小則表示關系越重要,一般情況下,同義關系的語義距離小,而上下位關系語義距離大。例如在風災中,包含了“揚沙”、“浮塵”、“沙塵暴”等概念,這就是同義關系。“揚沙”、“浮塵”的相似度比“揚沙”、“風災”大。同理,上下位關系表示了繼承、包含等關系,比并發、誘發關系的相似度要大。由于并發、誘發有時很難區分,因此其權值定義為相同。概念之間的語義距離可定義為概念與概念在本體加權有向圖中的最小距離,此最小距離為概念與概念之間最

(3)α值的測算
α為傳統匹配算法的匹配度系數,對于不同的匹配水平,α的值不同。由于傳統的匹配算法只給出了相似度函數,并沒有給出α。α的取值直接影晌匹配算法的性能,是相似度函數的關鍵因素。
本文采用應急領域專家調查方法獲得概念間主觀相似度值為參照,作為相似度函數中sim(O1,O2)的取值。反向確定α的值。α的測算公式為:

4.2 基于相關度存儲表的服務推薦
通過上述本體概念語義距離算法對本文所使用的突發事件本體進行了測算,但在實驗中所得出的概念間語義相關度僅是2個概念之間的相關度,需要解決的問題是針對任何一個本體概念都可通過相關度算法計算出與其相關度大于某一閾值的概念,從而產生一個概念擴展集,再基于該擴展集進行服務搜索(即把擴展后的概念與服務注冊中心wsdl_Table中的Emergency字段進行匹配),并按概念的相關度對檢索出的wsdl文檔進行排序。
由于針對某一概念需要對本體中所有概念進行相關度比較,從而需要具有遍歷整個本體網絡結構的算法。對邏輯業務流程中的活動節點進行Web服務推薦時,如果每次都要通過遍歷本體中所有概念來與服務的功能描述進行相關度計算來得出符合某一閾值條件的突發事件概念,這無疑是非常耗時的,同時也違背了應急處置快速反應的要求。因此,在系統運行前就把本體中所有概念以及與某概念相關度大于0.5的概念集合求解出來,并且存儲到數據庫中,從而就把系統在運行階段與耗時的本體文件操作分開,僅僅對數據庫執行查詢就可以實現,這將大大提高效率,概念相關度數據表存儲如圖3所示。

圖3 相關度存儲表的計算結果
5 算法實現與分析
本文通過主觀相關度值與客觀相關度值的對比驗證α值測算公式的有效性。
由于本文所建立的突發事件本體是在搜集到的大量的應急預案抽取概念、關系的基礎上構建的,概念之間的相關性是客觀存在的。但由于目前并沒有突發事件領域概念之間相關度的權威數據,因此從突發事件本體中抽取出100個概念對,通過調查問卷的形式向多名本課題參與人員、應急領域的專家進行問卷調查,讓他們選擇出兩事件之間相關度的主觀反映值,最后再對所有人的結果求平均,最終得出100組概念對之間的主觀相關度值。然后采用α的測算公式反向計算出對應的α的取值。表2列出了部分概念對的α值。
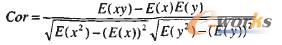
α的測算值以0.5為中心正態分布,因此,可選取α=0.5。為驗證α測算值的有效性,采用統計公式計算2種相似度的相關系數Cor來說明。
“以0.2的步長取值,利用相似度函數計算出客觀相似度,計算主觀相似度與客觀相似度的相關系數。相關系數Cor的計算公式如下:

其中,主觀感知值用x表示;客觀計算值用y表示。
表2 相關度主觀感知值測算的α值

表3給出了α對相關系數的影響?梢钥闯,α取0.5時,2種相關度的相關性最高。這與α的測算公式的結果相一致,驗證了公式的有效性。
表3 α參數對相關系數的影響

6 結束語
本文引用Web服務,通過研究基于突發事件概念相關性和應急服務流程節點服務推薦策略,提出本體概念相似度公式中匹配度系數的測算方法,實驗驗證了測算方法的有效性。基于本工作。將此測算方法得到的匹配度系數具體應用到基于P2P網絡的應急業務流程節點服務匹配中,同先前的輸出結果對比分析,處置效率提高的同時,也減少了人為主觀判斷,為應急處置業務的處置提供了便利。
核心關注:拓步ERP系統平臺是覆蓋了眾多的業務領域、行業應用,蘊涵了豐富的ERP管理思想,集成了ERP軟件業務管理理念,功能涉及供應鏈、成本、制造、CRM、HR等眾多業務領域的管理,全面涵蓋了企業關注ERP管理系統的核心領域,是眾多中小企業信息化建設首選的ERP管理軟件信賴品牌。
轉載請注明出處:拓步ERP資訊網http://www.sdyuan.com/
本文標題:基于Web服務的應急業務流程服務推薦
本文網址:http://www.sdyuan.com/html/consultation/1083939645.html
























