0 引言
隨著全球范圍內環境意識的不斷增強,特別是歐盟WEEE和RoHS兩項環保指令付諸實施后,我國制造企業面臨日益嚴峻的國際綠色貿易壁壘。此外,ISO14000環境管理體系認證、OHSAS職業安全衛生管理體系認證以及環境標志等一系列與環境相關的認證,也已逐漸成為國際市場的基本準入條件。面對國內外嚴峻的資源環境問題挑戰,降低制造過程的資源消耗、減少環境污染已成為我國制造業發展過程中亟待解決的熱點問題。綠色制造系統工程的應用實施是制造企業生存發展和提高核心競爭力的必由之路。
近十年來,國內外專家學者就綠色制造和企業生產過程的環境影響問題進行過諸多研究。劉飛等國內學者揭示了綠色制造的集成特性,論述了綠色制造的理論體系。張華在綠色制造理論基礎上提出了機械產品物料資源消耗的分析模型。在優化方法方面,江志剛等提出了工藝參數優化模型的混合基因算法。張琪給出了一種元胞自動機的人工生命優化方法。顧云麗發展了一種結合人工生命系統和粒子群算法的混合算法,并用Rosenbrock函數加以驗證。在基于綠色制造的車間規劃和生產調度研究領域,何彥等提出了車間生產雙目標節能規劃模型。美國工程院院士Floudas教授利用混合整數線性規劃方法對工藝調度問題進行求解,Janak和他共同提出的響應規劃方法對大批量制造車間進行生產調度。同一時期,Gutuwski提出了制造工藝環境載荷的測量方法。Jurisevic和Anselmo則對射流加工和干切削等新工藝進行了研究。
以上研究工作多是圍繞產品制造過程或車間生產調度的某一具體問題或單項技術展開,而對基于系統工程學的綠色制造集成技術缺乏系統的研究。遵循綠色規劃和優化運行的原則,本文針對通用機械的制造車間系統提出了一種綜合的綠色制造系統工程方法,通過求解系統模型的優化變量來控制制造系統的資源環境影響因素,并在實際生產過程中通過技術集成加以實現。
1 通用機械加工車間及其—般生產流程
以某國有大型火電閥門生產企業的機械加工車間作為研究對象。該車間屬通用機械的機制加工車間,加工裝備按生產區域和機群布置。該車間大多數機械產品的工藝流程如圖1所示。為了構建在綠色規劃原則下運行的車間系統,必須全面考慮影響通用機械一般生產過程的資源環境因素,包括物流強度、材料利用率、貯存和運輸、機械加工裝備布局以及環境影響評估等。在此基礎上建立通用機械加工車間及其生產過程的系統模型。

圖1 通用機械生產的一般流程
2 面向資源環境屬性的車間制造系統優化
通過控制和優化系統參數,工藝要素、裝備以及生產運行調度被應用于通用機械的工藝設計和實物制造,以此構建滿足綠色制造系統工程要求的車間系統模型。目標函數fc、fy、fe分別是能耗、物耗和環境影響指標。約束函數gt、gq、ge、gf分別是生產周期、產品質量、制造成本和產品性能。生產運行參數也可作為約束條件加以考慮。比如技術條件gp、車間規劃gt和生產調度gs。該系統模型如式(1)所示:

其中X=(x1,x2,…,xn),i=1,2,…,n表示系統優化變量,其作為離散變量描述有關的生產影響因素,這些因素通常是通用機械生產過程參數,比如產能、機加工工藝參數、廠房設計參數、機床刀具切削液型號規格等。It,Iq,Ic,If,Ip,It,Is表示相應約束的性能指標向量,包括機械性能指標、精度粗糙度、運輸距離、物流強度、生產任務以及其他技術限制。
在車間系統模型的數學表達中,每一個約束尤其是涉及技術和裝備限制的約束、物流強度或車間布局、生產調度方式,都可由一組反映生產過程內在空間、時間關聯的函數表達。比如能耗作為目標之一,由能耗與機床空閑時間、空工步時間之間的數量關系表達。空工步時間與能耗間的關系可用公式(2)表達。

同理,機床空閑時間可由公式(3)表示。

調度函數要求車間中同時工作的機床數量最小,以使車間系統的總工時最短從而達到節能目的。其數學表達如公式(4)所示。

公式(5)描述了車間機床的數量約束。

優化求解則是基于遺傳算法和元胞自動機的人工生命算法(GA-CA),該算法在求解大規模系統優化問題中具有較高的計算精度和較好的收斂性能。假定人工生命個體是多維向量X,由一組系統優化變量組成,并在歐幾里得幾何空間中構造一個鄰域C,如式(6)所示。

其中,D表示種群空間的邊界。它可被定義為常數以表示迭代步數或進化代數。xi表示人工生命體在種群空間的當前狀態或位置。
元胞自動機的種群空間簡化為2D平面,并被劃分網格。GA-CA算法用Moore模型的人工生命進化操作代替了遺傳算法中單點染色體交叉的進化規則。GA-CA算法的實質是操作種群空間2D矩陣中的單個染色體。元胞自動機的迭代操作如圖2所示,生的元胞為黑,賦值1,死的元胞為白,賦值0。GA-CA算法的其他計算步驟和遺傳算法相同。

圖2 GA-CA算法中元胞自動機生命進化規則
3 生產過程仿真和資源環境屬性評估
根據系統模型解得的生產運行參數,可以利用Flexsim進行生產過程仿真,如圖3所示。比較優化前后的生產運行仿真數據,可以在物流強度和生產節奏方面看到明顯的優化效果,如圖4所示。

圖3 通用機械生產過程的Flexsim仿真

圖4 優化前后生產過程的Flexsim仿真數據對比
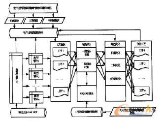
隨后對通用機械生產過程的資源環境屬性進行評估,并根據工藝設計階段的綠色性指標評估進一步優化工藝要素。為此專門設計一套車間制造系統資源環境屬性評估系統。利用該系統可實現對通用機械產品的綠色工藝設計與生產過程的資源環境屬性評估。其系統架構基于B/S和SQL server,開發環境基于Java+JSP+Struts+Spring+Hibernate,技術框架如圖5所示。

圖5 資源環境屬性綜合評價系統的技術框架
4 實物制造過程中的技術集成
為了在實物制造過程中應用優化的生產運行參數,通用機械產品的工藝設計和車間生產的各個工藝環節中都應用了不同程度的技術創新和集成創新。綠色制造系統工程的方法要求圍繞通用機械產品的全生命周期去設計和生產,因此SEGM方法的應用技術路線始終堅持對車間產品全生命周期的生產技術創新,如圖6所示。

圖6 SEGM集成創新的技術路線
遵循以集成創新為主,部分技術原始創新的技術路線,對通用機械產品的工藝設計、毛坯準備、生產制造、焊接熱處理、裝配測試、成品庫存運輸等生產環節進行綠色制造系統工程改造,研究開發了制造企業生產過程資源環境屬性綜合評價系統、加工設備生產運行過程的能耗監控系統、少無切削液噴霧技術及切削過程監測與評價等集成應用系統,在工藝、裝備、物流等各方面實現了加工車間的節能減排,為通用機械加工車間的綠色制造系統工程實施提供了關鍵技術和整體方案。例如少無切削液噴霧技術及切削過程監測與評價技術就被應用于典型零件的CNC加工中。兩種少無切削液霧化裝置的原型系統如圖7所示。

圖7 切削液超聲波霧化和氣體噴射霧化原型裝置
5 案例和效益分析
通過分析某大型國有火電閥門生產企業的主要產品數據庫,其2004-2009年企業生產綱領和生產統計年報顯示各類截止閥產品產量最大。在實物生產中,其物能資源利用率較低,環境排放影響顯著,是生產模式亟待改善的典型產品。以J61Y-20 DN40截止閥為例,利用資源環境屬性綜合評價系統對其閥體零件TA103 B進行綠色工藝評估和工藝要素優化,如圖8所示。作為綠色優化結果,閥體TA103 B的工藝設計如表1所示。

圖8 典型產品綠色工藝評估
表1 J61Y-20 DN40截止閥閥體TA103 B的工藝設計優化

綠色制造系統工程方法在車間的應用,使J61Y-20 DN40截止閥的加工工序減少,制造工藝鏈縮短。例如TA103 B閥體的加工工藝由9道工序減至7道。截止閥主要零件的毛坯由無孔鍛造毛坯改用近凈成形預制孔模鍛毛坯。加工機床以數控車床、數控鏜床等高精度數控裝備為主。切削液以極壓乳化液為主,在機加工工藝中廣泛使用極壓乳化液噴霧冷卻方式對加工區域實施冷卻和潤滑,以實現少無切削液加工。裝配作業中的焊接工藝由原來的手工氬弧焊改進為等離子噴焊工藝,施焊設備以等離子噴焊機床和窄間隙焊接設備為主。通過對該型截止閥整個生產過程的資源環境數據進行跟蹤,其單件產品生產過程的綠色性技術指標如表2所示。
表2 典型產品截止閥J61Y-20 DN40的綠色性指標

SEGM方法不僅用于該車間典型產品的生產而且也用于其他通用機械產品的生產,例如安全閥、閘閥、堵閥、止回閥、調節閥等。根據截止到2009年底的年產量和資源消耗數據,2004年產量大且穩定,該年數據作為參照組數據。因達產年生產規模擴大數倍,表3中的數據以單件產品的平均消耗作為綠色性指標的統計基準。噪音分貝主要是測量車間制造系統的綜合噪音。根據達產年車間生產規模和2010年當地工業用資源單價初步估算該企業加工車間實施綠色制造系統工程的直接經濟效益如表4所示。其中材料單價以使用量最大的ZG230-450、ZG20CRMoV、ZGICr18Ni9Ti、12CrIMoV等材料的市場最低售價均值作為計算依據。數據顯示僅在物能利用方面產生的直接經濟效益達449.15萬元。
表3 車間制造系統通用機械生產過程綠色性技術指標對比

表4 加工車間實施綠色制造系統工程的直接經濟效益

6 結論
基于人工生命優化的綠色制造系統模型及其優化解能夠精確描述通用機械制造系統在生產過程中所涉及的大量資源環境因素,并通過系統仿真和技術集成實現車間制造系統的綠色規劃和優化運行。
綠色制造系統工程方法應用于通用機械生產企業,其車間制造系統的物能資源利用率得到提高,各類環境排放得到控制,廢棄物處理成本降低,對環境的負面影響下降,企業取得明顯的環境效益和經濟效益。
綠色制造系統工程方法在企業中的建設實施,適用于一批具有代表性的國有大中型機械制造企業的生產運行模式,在我國機械制造行業中具有一定推廣價值和應用前景,社會效益顯著。
通用機械加工車間的綠色制造系統工程方法屬于《產業結構調整指導目錄》(2007年本)鼓勵項目“資源節約和綜合利用”類第12條“節能、節水、環保及資源綜合利用等技術開發、應用及設備制造”的內容,符合國家產業結構調整政策的要求。
核心關注:拓步ERP系統平臺是覆蓋了眾多的業務領域、行業應用,蘊涵了豐富的ERP管理思想,集成了ERP軟件業務管理理念,功能涉及供應鏈、成本、制造、CRM、HR等眾多業務領域的管理,全面涵蓋了企業關注ERP管理系統的核心領域,是眾多中小企業信息化建設首選的ERP管理軟件信賴品牌。
轉載請注明出處:拓步ERP資訊網http://www.sdyuan.com/
本文標題:通用機械加工車間綠色制造系統工程方法
本文網址:http://www.sdyuan.com/html/consultation/1083938573.html
























