精益生產方式于20世紀50年代首創于日本豐田汽車公司,1972年后被廣泛應用于日本汽車和電子工業。精益生產方式的實施和制造業核心競爭力的提升,歸根到底要落實到價值創造和實現的每一個環節或活動上。依據帕累托的二八定律,在制造業整個流程中,只有約20%的時間直接創造價值,對實現顧客價值具有決定性影響。價值流中每個環節或活動密不可分,整個流程運行的均衡能力以及全過程周期時間的長短,影響了制造業的效益和響應顧客的能力,但現實中對采購準備原料和換型換線造成的等待時間、生產線位置移動帶來的搬運時間以及傳統觀念要求大量庫存時間考慮不足。雖然目前很多制造業都強調減少庫存,但對降低庫存帶來的效益認識不足。例如在降低庫存初期,成本減少,利潤卻下降了。這種視覺效益使管理層特別是財務人員,從心理上或行為上抵制精益改善,即使高層已經制定了精益改善的種種措施。另外傳統會計模式以人工/機器工時為基準的費用分攤已經無法適應精益生產的一個流運作,也無法體現精益改善帶來的效益。因此,為保證順利實施精益改善以及穩定控制時間成本,亟需對供應鏈的時間效益問題展開深入研究,對研究制造業整個流程成本控制以及發掘時間效益具有重要意義。
一、相關理論概述
(一)精益生產
精益生產方式又名準時制生產,其運作特征是在適當的時間。將適當種類和數量的原材料送達適當的生產地點,生產適當數量和質量的產品。其中“適當”的標準是獲得更好的效益。整個流程是物品從供應地到接收地的實體流動過程,根據實際需要,將運輸、儲存、裝卸、搬運、包裝、流通加工、配送、信息處理等基本功能實施有機的結合。因此它是以滿足消費者的需求為目標,把制造、運輸、銷售等市場情況統一起來考慮的一種戰略措施。與傳統的生產方式相比,不僅單純的考慮從生產者到消費者的貨物配送問題,而且還考慮從供應商到生產者對原材料的采購,以及生產者本身在產品制造過程中的加工、運輸、保管和信息等各個方面,在深度和廣度上有了進一步的含義,全面地、綜合性地提高經濟效益和效率的問題。精益生產的迅速發展,使得在時間效益的創造上有了新的突破.形成一種新的時間效益。
(二)時間效益
時間效益是由于物的流動從供應者到需求者之間存在時間差,通過改變這一時間差所創造的價值。時間效益,從形式上看,是掌握適當的流動時機從而形成的效益;從實質上看,包括提高資金使用效率和加快物的周轉速度形成增量效益。時間效益不是單獨追求價值流過程中某一個單獨變量的變化,如僅僅減少不必要的資源消耗、縮短搬運距離等,而是關注相關資源占用、資源消耗以及延遲所帶來的成本。這里所提到的成本主要是時間成本。從會計學角度,對于成本的劃分可以分為顯性成本和隱性成本,顯性成本是依據成本會計計算出來的實際應用成本,隱性成本是具有一定隱蔽性、不易被察覺經濟活動所耗的費用;從時間效益角度,可以分為機會成本和實際支出成本,機會成本是由于生產、管理過程中非必要時間浪費而引起的價值損失。在數量上等于浪費時間所創造的價值,實際支出成本是為了實現一定目的而發生的,對獲取時間優勢實際支付的成本。時間成本在整個流程中與周轉時間/周轉速度有密切關系。周轉時間包括流通時間和生產時間,流通時間主要是原料的采購運輸等外部準備時間(從供應商到企業)和從庫存待售產成品至將其成功售出的時間(從企業到顧客)。周轉時間與企業效益呈反比,周轉速度的快慢取決于流程中可變環節及瓶頸位置的周轉速度。流程周轉速度越快,也意味著其中的可變環節周轉速度越快,然而這一部分正是剩余價值的源泉。為了獲取更多的剩余價值,企業加快整個供應鏈周轉速度,縮短周轉時間,快速收回資本進入下一個循環周期,減少資本的額外預付。因此,提高時同效益也就意味著成本的減少,具體形式表現為縮短過程周期時間。
二、基于精益成本控制的時間效益分析
(一)縮短周期時間與成本最優相結合
上游企業、核心企業、下游企業是價值運動鏈條的利益主體,共同構成一個完整的以物的流動為外在表現形式的價值運作系統,然而價值運動是以資金流、物流、信息流為載體表現出來的。物流是資金流和信息流運動的基礎,資金流在這一過程中其本質并未改變,信息流運動則使各作業環節得以協調配合,從而形成一個有機的整體。物流運動過程是價值的投入、創造、消費和分配過程即實現價值增值的過程。精益生產要求以系統的觀點來審視供應鏈中各作業環節,著眼于系統下各子系統流暢、平穩的運行,各子系統間實現無縫連接,通過縮短過程周期時間使得整個系統的整體效益最優化、價值最大化。企業做出縮短過程周期時間的決策及實施具體措施時需要考慮到成本因素。成本會隨著時間的變化而變化,關鍵是權衡成本與時間之間的變化趨勢,確保時間效益的正向發展。
流通周轉時間的延長,所投入的資源更多,成本也隨著增加。為了提高效率而縮短時間,當供應鏈的價值運動過程周期時間縮短到最優時間值時,由于成本減少而創造了正的時間效益;當不斷縮短價值運動過程周期時間至最少限制時間時,這段時期成本反而上升就帶來負的時間效益。如時間——成本權衡曲線所示(圖1),T是使成本最低的時間,即最優時間。因不必要工作環節導致的時間延長而越過成本最低點的右邊,整個過程周期成本會因為缺少效率而提高,也就意味著周轉速度減慢了。所以企業會盡力縮短不必要時間耗費,使時間T2向T移動,成本也隨著由C1減少至C,成本減少的部分即時間間隔縮小創造的時間效益。如果企業在現有規模仍試圖繼續減少過程周期時間,越過成本最低點的左邊,則會造成“擠壓”工作環節,成本開始上升,這是因為企業要動用更多的資源來加快速度,就出現邊際收益遞減,在制品、庫存也會增多。

圖1 時間-成本權衡曲線
最優時間值就是消除供應鏈中所有作業環節的“浪費”所耗費時間的同時注意作業環節之間的平衡而達到最優過程周期時間。因此,縮短時間創造效益應該以價值運動系統中各利益主體相互“拉動”平衡整個作業流程為基礎,采取技術的、管理的、系統的等方法來盡量縮短物流的宏觀時間和有針對性地縮短微觀時間,避免生產過剩或效率不足。進行縮短周轉時間時,要注意到周轉時間中每一節點活動都是相互關聯、相互依賴的,在某一時刻調整某一因素可能會導致整個企業宏觀過程的重大改變。非增值作業時間的成本在供應鏈中占有較高的比重,在保證顧客價值需求的情況下,追求減少周轉時間最少和成本最低,也就是說要求以顧客需求為中心,從顧客的立場來確定什么創造價值,什么不創造價值;對供應鏈中的采購、產品設計、制造和分銷等每一個環節進行分析,找出不能提供增值的浪費所在;根據不間斷、不倒流、不等待和不出廢品的原則制定創造價值流的行動方案,及時創造由客戶驅動的價值,一旦發現有造成浪費的環節就及時消除,努力追求完美。縮短過程周期時間是一項復雜而長期的活動。與顧客的滿意度和企業的利益息息相關,如果管理正確,會逐漸發展成企業核心競爭優勢。
(二)過程周期時間成本分攤與創造效益改善點
為了優化業務流程,實現企業價值增值最大化,會計人員應利用所掌握的各部門價值信息,分析企業各環節作業的增值量,協助企業進行業務流程的改造。成本管理是增值活動管理中最基本的工作,企業每項價值活動環節的成本包括外購材料成本、人力資源成本等其他費用。在成本管理中,企業必須將以上成本分攤到各項作業環節中去,分攤的目的是產生一個能反映成本分布的價值鏈,比較各項價值活動成本的分布,從而找出降低成本的突破口即挖掘可以創造時間效益的作業環節。除此之外,成本管理人員還需了解與產品有關的整個供應鏈成本,并與處于供應鏈上的其他廠商合作,共同控制成本,尋求最大收益率。
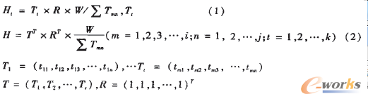
產品的成本由直接成本和間接費用組成,在傳統會計模式中,會計人員都傾向于把注意力集中在直接成本上,對悄然增長的間接成本視而不見,從而忽略了產生間接費用的活動及其對經營差異化的貢獻。間接費用在整個流程成本里占據較大比例,主要體現在非增值作業即非加工作業環節。傳統會計模式采用標準時間分攤方法。以加工時間作為作業基礎的分攤方式,并沒有包含非加工時間在內。通過標準時間來計算間接費用并不能真實反應出產品的實際制造時間,也不利于形成對非加工時間產生附加成本的認識,更為重要的是它會鼓勵企業進行大量生產,增加庫存,這樣間接費用分攤在庫存產品中,從而使得銷售產品的成本下降,導致利潤虛增。當企業進行精益改善,縮減周期時間,成本下降并不能體現企業生產技術水平的提高,反而會誤導企業的運營管理。顯然,以加工時間為作業基礎的分攤方式并未體現出縮短時間給企業帶來的效益。根據精益生產的命題,無論是否處在加工階段,所有的環節都應分攤間接費用,也就是說間接費用會分攤到“過程周期時間”之中,“過程周期時間的長短”和“流動化”(物品毫不停滯的流動狀態)決定成本,決定現金流。
基于過程周期時間的分攤方法,首先計算分攤率,分攤率等于預計間接費用總額除以各個作業環節過程周期時間;其次計算某一作業環節該分攤的間接費用,將該環節所耗用的過程周期時間乘以分攤率;最后加總各作業環節分攤的間接費用。

其中H為間接費用總額,H1為環節t間接費用,T1表示環節t過程周期時間,W表示預計間接費用總額,間接費用分攤率為

表示各作業環節過程周期時間之和。
如公式(1)和(2)所示。通過比較這兩種分攤方法會發現以加工時間為作業基礎時所計算出的分攤率,大于以過程周期時間(加工時間和非加工時闖)為作業基礎時所計算的分攤率。非加工時間長的作業環節分攤較多的費用,那是由于非加工時間占大部分,所對應的產品成本應承擔其非加工時間所耗的費用成本。因此,運用過程周期時間基準分攤法在縮短過程周期時間的同時,直接成本并不受影響。間接費用的降低額就是產品成本的減少額,這樣時間改善的效果就會體現出來。
運用基于過程周期時間的間接費用分攤,有利于實現了縮短過程周期時間所帶來的時間效益可視化。不僅避免之前傳統制造費用分攤出現的問題,同時考慮到了產品在某一環節的滯留時間,還考慮到了流經該過程的產品的價值,鼓勵企業不斷縮短產品的生產周期,減少在制品和產成品的庫存。正是基于這種獨特的視角,為了增加現金流凈額,力求縮短生產時間,減少在此過程中的不必要的浪費。基于過程周期時間的分攤法也為企業找到流程中的最佳改善點提供依據。在計算間接費用分攤率的過程中,產品的過程周期時間和各工序的生產實際時間被測定,根據這些數據也可以找到瓶頸工序,集中力量對其進行改善,通過縮短過程周期時間,從而可以提高生產能力和物流速度,進而實現現金流的改善。如果按照傳統的計算方法,就忽略掉了非加工時間,對這一部分的改善也就往往被忽略掉。另外應用傳統的計算方法,為降低產品成本自然會去降低標準時間,而在任何一個工序上縮短若干個單位的時間意義是相同的,這樣企業就可能選擇在非瓶頸工序上進行改善,而這樣的改善對于整個生產期間的縮短并沒有貢獻。雖然基于過程周期時間的間接費用分攤法對精益改善有著重大的積極作用,但是并不符合現行會計對外報告的要求。這種核算方法主要是用于監督企業實施精益生產以及衡量精益生產帶來的成本時間效益,是財務部門、管理部門、生產部門的協調溝通的橋梁,反映縮短過程周期節省的成本,是推進企業實施精益改善的一種內部管理的方法。
三、精益視角下創造時間效益的對策
(一)基于價值分析創造時間效益
時間具有價值特征,挖掘時間效益,必須對其以各環節作業為基礎進行價值分析。首先,辨別不必要或不增值的作業。并不是所有的作業都能形成產品價值,可以分為增值作業、必要非增值作業以及非增值作業,后兩者是一種浪費,應盡量消除。其次,對重點的增值作業進行分析。制造流程整個系統中增值作業可能很多,只能對那些重點作業進行分析。一般來說,80%的成本由20%的作業引起,按成本進行高低排序,重點分析成本高的作業。再次,將作業與先進水平比較。能增加價值的作業并不意味著是最有效率的,通過與先進水平的作韭進行比較,尋求改善機會。最后,分析作業之間的聯系。理想的系統是各項作業之間環環相扣的,增值作業、必要作業都以最高效率完成。對時間價值分析要求一方面發現和消除對整個流程無貢獻的必要非增值作業和非增值作業,縮短這部分時間;另一方面改善作業,提高工作成效,把有限的資源用于最終產品增加價值的作業上,并改善顧客價值。對各環節作業分析的意義就在于提高時間效益、持續改善和優化整個系統鏈。
(二)對供應商的選擇與成本控制
過去企業與供應商的關系一直被認為是一種直接的對抗關系。采購價格要爭取到最低。這種觀念導致采購人員通過各種方式尋找低價的進貨渠道,雖然采購價格降低了,卻致使采購以外的其他作業環節發生高額的成本。例如由于未發現購進材料缺陷需要廢品返工以及由于延期交貨而引起生產延誤,為避免材料到達時間推遲而加速處理材料引起其他環節停工。供應商與核心企業之間的作業環節應該能夠實現整個系統鏈的增值。對于選擇供應商不能單單以價格最低為基準,而應該以最低的交貨總成本作為考察對象。與每一個供應商合作的總成本包括訂貨成本、接收成本、檢驗成本、存儲成本以及所有與購置相關作業的成本。根據成本會計材料采購成本是企業從外部購入原材料等所實際發生的全部支出,包括購入材料支付的買價和采購費用(運雜費、運輸途中的合理損耗、入庫前的整理挑選費、購人物資負擔的稅金和其他費用等)。支付的材料價是形成最終產品價值的一部分,但有些采購費是不必要的,如倉儲費、檢查費,其費用支出的同時還占用大量時間,這是一種浪費應盡力消除,按照核心企業的需求“適當”配貨以壓縮時間差。
尋求最優供應商時還需要建立良好的戰略合作關系,一同改善內部流程。有些企業把產品設計改進帶來的零部件損失、生產計劃數減少造成零部件積壓等風險轉嫁給了供應商,其實質是把自己管理上的混亂轉嫁給了供應商,然而供應商會把這部分的風險計算入它的成本里,這樣的合作關系并未達到降低成本的目的。對供應商成本進行有效控制,利用“拉動”平衡供需之間關系。通過相應的物流活動,努力減少成本塑造時間效益。這不僅提高供應商的自身效率,而且降低核心企業的采購總成本,特別是一些作業環節省去不必要時間,加快采購速度而創造效益。
(三)企業內部生產流程成本優化
核心企業內部生產鏈可大致歸納為等待、加工、搬運檢查以及庫存等作業環節。加工時間是價值增值時間,是形成產品價值的關鍵環節,這一期間意味著成本(現金流支出)的增加,且通常是必要的。等待時間、搬運時間、檢查時間以及庫存耗費的時間,這一附加成本也會導致現金流支出,但卻是成本增加的時間,特別是庫存待售時間,在此期間沒有任何價值被創造,也就是最大的浪費。庫存不僅增加日常維護管理的成本、占用空間,而且占用資金,減少企業利潤,甚至導致企業虧損。因為當出現不良產品、設備能力不平衡等問題時,常常用庫存來慢慢解決甚至不用解決問題,這樣問題被掩蓋住了,進而也不會產生改進對策,因此失去了進一步改善的機會。精益生產正是依靠不斷地減少庫存量,使各種問題不斷地被暴露出來,并設法解決,以此來不斷提高管理水平。
浪費是時間價值損失,延長了周轉時間,,阻礙企業運營效率的提高,削弱企業的競爭能力。據研究表明,在生產流程中,非增值時間幾乎占到整個產品從生產到消費的80%的時間。這一方面說明在生產流程中時間的重要性,另一方面,也同時說明了非增值的時間作業環節具有巨大的優化空間。通過優化這一部分時間,可能會給企業帶來巨大的效益,從而確立競爭優勢。大幅度壓縮過程周期時間,甚至實現無滯留時間,減少庫存,實現無產成品積壓、提高操作人員的積極性,對企業流程從采購、生產到銷售、配售全程實現優化,提高資本周轉率,提高資金利潤率,進而提高企業整體效益,這就是壓縮時間創造的效益。非增值的時間出現意味著生產線上輸入與輸出能力的不平衡,可以通過適當增加資源、引進高技術、更新設備、加強材料和部件的可用性、改進工作方法來加大設備的負荷容量。負荷容量越大,消耗在非增值的時間越少,生產線流動的速度也就越快。同時調整生產流程,根據工序順序建立精益生產單元,執行看板管理,優化工序之間的連接,盡可能使用好場地,減少搬運活動耗費的時間,比如設置U型產線使工序首尾相接,借助錄像等手段分析工人在移動中動作,在布局設備時盡量減少工人的身體動作,使工人疲勞度降低。產品缺陷對整個供應鏈的輸出能力有重大的影響,將質量管理貫穿于每一工序之中來實現提高質量與降低成本的一致性,可以在生產線中設置自動檢測裝置,當發現異常或不良產品時發出警報或者自動進行設備停止運行。非增值的時間逐漸縮短,整個生產流程總成本也隨著減少,時間效益也體現出來了。
(四)顧客需求拉動生產
核心企業供給與顧客需求存在的時間差。可以說是普遍存在的。有些產品的生產有嚴格的季節性和周期性,而消費者對這些商品的需求卻未必僅在產品的產出時間。企業會集中生產所形成的供給和分散的需求必然會出現時間差,儲備儲存活動形成大量庫存,延長周轉時間。精益強調無縫連接,在整個系統間尋求平衡,原材料、制品及產成品保持最小庫存的情況下,能保持連續、高節奏生產。縮短企業至消費者之間的時間差帶來物流時間效益,不只是體現在降低物流成本方面,還表現在由于物流的順利運行,促進生產、增加產出而獲得收益,還體現在企業物流與生產的協同即協調和完善企業生產、流通結構而產生的效益以及為客戶提供高質量的服務從而增加顧客忠誠度而帶來的效益等。這一部分的成本控制即物流服務成本很大程度上決定于需求,顧客需求往往千變萬化,不同顧客,甚至同一顧客在不同情況下。往往也會有不同的需求。高成本可能是由顧客訂單模式引起的,如不可預測性、變化、頻率過繁、非標準化的供應和交貨要求等。企業可以就這些要求與顧客溝通,以采取費用更低的模式,即減少顧客所要求的作業數。內部作業與業務工序的改進和企業與顧客間的合作都將降低物流服務成本,從而提高收益率。因此,從時間效益挖掘的層面上尋求雙贏,首先要全面、系統、準確地了解顧客物流與時效相關的信息,再結合企業自身的服務能力,通過與客戶的反復溝通,在獲得客戶支持、至少得到客戶認可的情況下,擬定可能存在雙贏的實施方案。
四、結語
精益生產方興未艾,中國大多數制造業精益之路正處于高速發展之中,精益思想甚至也蔓延到服務行業,有很大的發展空間。企業提高意識重視供應鏈成本控制與時間效益結合。并把握機會,市場競爭力就會加倍提升。
核心關注:拓步ERP系統平臺是覆蓋了眾多的業務領域、行業應用,蘊涵了豐富的ERP管理思想,集成了ERP軟件業務管理理念,功能涉及供應鏈、成本、制造、CRM、HR等眾多業務領域的管理,全面涵蓋了企業關注ERP管理系統的核心領域,是眾多中小企業信息化建設首選的ERP管理軟件信賴品牌。
轉載請注明出處:拓步ERP資訊網http://www.sdyuan.com/
本文標題:基于精益視角的供應鏈流程時間效益研究
本文網址:http://www.sdyuan.com/html/consultation/10820610785.html























