0 引 言
軟件選型是企業資源計劃(entERPrise resource planning,簡稱ERP)實施的關鍵環節之一。針對不同類型的應用系統選型,其過程和復雜程度都會有差別,如何選擇合適的ERP系統是企業實施ERP的首要問題。不少學者從不同的角度提出了各種的ERP軟件選型方法,以適用于不同場合的ERP軟件選型工作。本文針對制造企業ERP軟件產品選型,提出一種新的ERP軟件選型方法。
1 制造企業ERP選型評價模型與原理
對于制造企業ERP選型,選型小組中既有制造專家,也有經營決策領導,不同業務領域的成員會持有各種不同觀點。解決這些差異的辦法是盡量將涉及的變量目標化,并且給每個變量特定的衡量指標。將定性的觀點定量化時,采用灰色系統的方法進行選型決策:根據評價體系確定比較數列,運用標桿管理確定參考數列及層次分析法(analytical hierarchy process,簡稱AHP)確定相對權重,最后確定綜合關聯度,根據關聯度對ERP軟件的優先級進行排序。系統決策過程評價模型如圖1。

圖1 制造企業ERP系統選型評價模型
1.1 制造企業ERP評價指標體系
ERP的選型是一個較為復雜的決策過程。在這個決策過程中,首先是確定選型評價指標,根據平衡記分卡原理(balancedsc oreca rd,簡稱BSC),企業不僅要關注近期投資的績效,還關注對遠期競爭力的影響,為此采用理1于建立選型評價指標體系。
1.2 采用標桿原理確定參考序列
標桿原理(benchmarking)是企業提高競爭能力的管理方法:與行業的強手作比較,以確定通常情況下的最優化水準以找出差距,制定目標,提高績效水平,起到“標桿作用”。其標桿指標確定原則如下:①當指標為效益指標,愈大愈好。②當指標為成本型指標,愈小愈好。③當指標為適中型,愈接近某一固定值愈好。④當指標為區間型指標,以落在某一區間內為最佳。
1.3 采用層次分析法確定指標的相對權重
基于BSC原理建立的評價體系是一個3階遞階層次結構(表1),與AHP思想相吻合:按間題建立階遞層次結構,使之條理化。對每一層次中兩兩元素相對重要性給出定量表示,利用科學計算方法確定全部元素權重。
表1 制造企業ERP評價體系
1.4 灰色系統理論
灰色系統理論提供了一種定量分析兩因素關聯程度的方法:根據比較數列集的曲線族與參考數列構成的曲線間的幾何相似程度,來確定比較數列集與參考數列間的關聯度。其幾何形狀越相似,關聯度就越大。
2 制造企業ERP評價過程
2.1 建立評價指標體系
根據現代制造企業的信息化特點和BSC原理,建立表1所示的ERP軟件3層目標評價體系,其中A層為總目標評價,B、C層是單目標評價。
(1)制造類型滿足程度(C1)
制造企業的生產類型、生產批量、生產組織方式的差異決定了需要不同的解決方案。
(2)系統的易操作性(C2)
軟件是否漢化,界面是否友好,操作是否簡單。
(3)系統的可維護性(C3)
為滿足用戶新的要求,或運行中發生錯誤時,對軟件進行相應診斷和修改所需工作量的大小。
(4)集成性和可擴展性(C4)
ERP系統的集成性是系統內與系統間信息共享的要求,而可擴展性能夠滿足企業的特殊要求。
(5)系統的安全性(C5)
系統防范惡意存取、修改、毀壞及泄密的程度。
(6)系統的開放性(C6)
ERP軟件能在不同軟、硬件平臺上運行能力。
(7)功能的完備性(C7)
軟件產品的功能對企業管理上的需求滿足到什么程度。
(8)軟件版本的升級情況(C8)
軟件升級、完善能力及滿足新老用戶未來要求。
(9)系統的先進性(C9)
系統實現功能所需的處理時間和存儲空間,提供開發技術、管理理念及管理模式的先進性。
(10)企業當前的經營滿足程度(C10)
ERP系統的首要要求是能夠滿足企業當前的經營。
(11)二次開發工具水平(C11)
主要從開發效率、掌握難易程度以及功能強弱和價格水平等方面去評估。
(12)員工的培A質量(C12)
培訓企業員工對系統的使用、維護和二次開發。
(13)后續服務能力和技術支持(C13)
ERP軟件的實施與使用有一個適應期,強有力的售后服務是渡過適應期的關鍵。
(14)實施水平和規范化(C14)
信息化實施水平和規范化是保證項目如期完成和系統順利運行的有力保證。
(15)用戶的滿意度(C15)
為了確認產品的實際使用效果,可以直接從用戶那里了解軟件的使用情況、功能、實施情況、經驗教訓等。
(16)供應商的信譽和實力(C16)
只有實力強大的公司才能投入巨資研究開發新一代產品,保證其軟件版本和功能不斷創新和維護。
(17)企業的管理和員工的支持(C17)
ERP實施是項系統工程,企業管理水平的高低和員工的支持也影響ERP選擇的類型。
(18)綜合投資費用(C18)
綜合投資費用包括軟件費用、培訓費用、實施費用、維護費用以及由軟件特點所產生的平臺費用。
(19)內部收益率(C19)
內部收益率是判斷貼現率為多少時,投入和收益在確定的計算期內可以持平。
(20)動態投資回收期(C20)
動態投資回收期是在考慮資金的時間價值的基礎上,以標準貼現率來計算投入和收益達到平衡的時點。
2.2 評價指標體系的兩量化
對于上述指標體系還需做定量分析。本文采用灰色理論并結合標桿原理、AHP來對該評價指標體系進行量化。
(1)確定參考數列C0和比較數列Ci
確定軟件比較數列

據此可建立m (m為自然數)個軟件組成的評價系統

式中Cin——軟件的評價指標;i——參考軟件序號
同理,依據標桿原理,選定軟件參考數列

式中C0n——軟件評價指標Cn的標桿值
該評價體系中,各評價指標的量綱是不同的,利用規范化的公式

對各指標值進行規范化處理以比較。
根據式(4)對式(2)、(3)進行規范化有

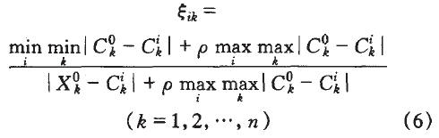
(2)計算關聯度系數
計算參考數列與比較數列之間的關聯度系數公式為

式(6)中,ρ為區間(0,1) 中的數,一般取0.5。由式(4)、(6)可得關聯系數矩陣

(3)計算C層的關聯度
計算比較數列Ci與參考數列C0之間的關聯度

根據關聯度ri0的大小對評價目標進行排序,關聯度越大表明被評價目標的指標越接近標桿值。
(4)B層的關聯度計算
由AHP法計算相對權重WBC,結合式(7)、(8)得B層的關聯度為

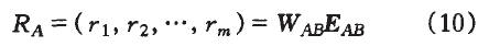
(5)綜合關聯度的計算與排序
由AHP法計算相對權重WAB,結合式(7)、(8)得A層關聯度,即綜合關聯度

根據式(10)中,r1,r2,…,rm的大小可對相應的ERP軟件R1,R2,…,Rm進行優先級排序,便于進行決策選擇。
3 實例分析
以某汽車配件企業為例對編號為R1、R2、R3、R4的ERP軟件進行選擇,建立如表1評價體系。根據前面給出的定性分析進行量化評價。
3.1 確定比較數列和參考數列
在R1、R2、R3、R4體系相應建立C1、C2、C3、C4比較數列(表1),并構成一個由4個評價單元、20個評價指標構成的評價系統,組成的比較數列矩陣為

同時建立參考數列C0,按照1.2節指標選擇原則確定C0的值(表1)。在該體系中,屬于“效益型”的指標有:C1,C2,C3,C4,C5,C6,C7,C8,C9,C10,C11,C12,C13,C14,C15,C17,C19;屬于“成本型”的指標有:C13,C14,C15,C17,C19;屬于“適中型”指標的有:C9,C16。
3.2 指標值的規范化和關聯度系數的計算
根據式(4)、(6)對表1進行規范化和關聯度系數的計算結果如表2。
表2 關聯系數表
3.3 計算B層的關聯度
采用AHP得到權重

利用式(9)得到B層各指標的關聯度

3.4 綜合關聯度的計算與軟件選擇的排序
根據式(10)及3.3節中的相對權重WAB,計算A層的關聯度,即綜合關聯度

故各軟件優先級選擇順序為:R4、R3、R1、R2。選出的ERP軟件較好地改善了該汽車配件企業生產經營狀況。
4 結 論
(1)結合制造企業的生產經營特點采用BSC原理建立的ERP選型評價體系,不僅考慮了企業一般性和制造企業特殊性,也考慮了企業的當前需求和長遠發展。
(2)標桿管理確定的參考數列,數據來源于本行業的績優數據,綜合了本行業中的優點,既可以對選擇軟件進行優化,也有利于實施企業發現差距和改善不足。
(3)采用灰色系統評價理論進行軟件優先級排序,該方法具有樣本小、計算量小、與定性相一致的優點。
(4)用AHP進行專家評選的權重決定,平衡各專家的意見。該方法操作簡單,層次分析能力強。
轉載請注明出處:拓步ERP資訊網http://www.sdyuan.com/
本文標題:制造企業ERP軟件產品選型技術
本文網址:http://www.sdyuan.com/html/consultation/1082053317.html
























