企業員工績效考評是企業績效考評系統的一個重要組成部分,肩負著反映員工工作業績和為員工薪資、培訓和晉升等管理工作提供參考依據的重要職能。然而,目前典型的制造企業,考慮到設計人員不多,特別是對于設計人員的績效考核難度很大。同時考評的及時性、公正性與操作簡便性也是考評過程中面臨的主要問題。針對此問題,在本課題組開發的PDM系統上,運用系統中工作流程管理,結合某配套型中小企業模型設計了一種績效考核系統。
1 系統設計原理
PDM系統用戶為研究型,基于該類型用戶特點要求用戶的考核以工作業績為主要的考核內容,以項目為基本單元進行考核,即績效考核以項目為考核周期。項目中績效考核的業績考核數據主要由活動資源和組織資源提供。
設計過程包括任務、信息和人員三種因素;這三個因素在設計過程中互為補充和支持,共同描述了企業的設計過程形態。本文研究的系統是以PDM系統的產品開發項目管理為單元,通過流程管理過程中人員、任務、活動的數據記錄及一定的規則約束關系,并結合特定的考核標準和績效標準衡量方法來實現的。圖1所示為該系統模型。系統主要模塊功能有考核參數管理、項目考核管理和員工績效統計等。項目創建時把項目相關的基本屬性添到數據庫中,流程啟動過程中,把設計人員所參與的活動如方案設計、任務設計、任務審核、更改修改、更改審核和系統管理等的最終結果與流程控制有關的數據儲存在控制數據庫中,同時把與相關數據如監控記錄、歷史記錄等儲存在相關數據庫之中。用戶通過考核參數設置操作系統規則。由信息查詢可以檢索出與某設計人員有關的內容和任務完成具體情況,查看流程過程中設計人員的累計績效分值。項目結束時,通知系統調用考核算法組件,對項目組成員考核,報表打印。系統可設定一定的考核周期,對這一周期內,設計人員的所有項目考核結果統計,最后得到評定結果,可以將用戶的績效考評結果輸出。

圖1 基于流程管理績效考核系統模型
2.1定制工作流模板
配套企業的流程相對較簡單,流程類型少,流程思路清晰,流程中的角色和任務類型不多。為了滿足客戶化要求,讓研究的產品數據管理系統流程與企業流程相適應,筆者在工作流流程設計器中定義了系統固化流程,并根據此固定的流程模式開發了基于角色任務工作臺。定制工作流是流程設計的實例化,被固化于后臺。產品設計項目開發調用定制好的流程模板接口,其工作原理如圖2所示。

圖2 定制工作流程原理
2.2數據接口技術
績效考核系統作為PDM系統的功能模塊與系統的其他功能模塊間存在數據交換。其主要與工作流管理、用戶管理和編碼管理模塊進行數據集成。
績效考核系統與用戶管理數據接口通過角色規則定義器實現。定義器包括角色管理和權限設置兩部分。角色管理主要是針對產品開發過程中存在的不同角色進行定義分類,屬性包括有角色類型、角色名稱、各種評分在本角色中所占的權重以及備注等信息的設置。這為前臺考核評分對象的展現提供依據,也是計算考核結果和生成考核結果的基礎。權限設置中對用戶進行角色授權,使用戶具有權限操作,對高級權限的用戶具有考核管理的設置操作,一般用戶具有查詢瀏覽考核信息權限。
基于工作流程的特點,與工作流管理數據接口的實現,可在工作流系統中嵌入考核機制來實現設計人員的績效考核,通過建立流程階段性的考核,按照定制的工作流模型對相關的活動過程設定考核機制。通過各環節考核機制目標參數調入考核算法組件,可實現考核成績的計算。此類依托工作流管理數據接口實現的考核為動態考核。因所有產品開發結束的數據均歸于歷史數據,實現在產品開發或項目結束后的考核需要手動考核。
在與編碼管理數據接口實現中,PDM系統采用分類編碼的方法,在編碼前要對編碼進行編碼類定義。采用后臺編碼接口實現系統分類編碼。系統的編碼操作中對每類對象做編碼模板,類編碼后,在對具體考核對象、任務等編碼時,通過調用后臺編碼接口,直接獲取編碼號。
2.3考核機制
活動(任務)是工作流的基本單元,自主計算考核是通過對其管理資源監控、計劃和執行的控制實現的。考核機制emi嵌入到每個活動ti之中,工作流的任務考核智能性是通過嵌入工作流活動中的多個emi的協作實現的。考核機制元是嵌入柔性工作流活動中的智能實體,定義考核機制元EM=(M,D,E,P,T),其中,M為監控規則,D為執行規則,E為考核規則,P為計劃規則,T為接觸管理器,主要實現與管理資源及其他機制的交互。
3 績效考核算法

圖3質量控制參數關系

圖4 時間控制參數關系
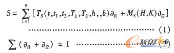
績效評估有很多種方法,系統的考核算法采用加減賦分法來實現。程序實現考核,要求標準要盡可能具體且可以衡量。因此績效標準可以從工作的數量、質量和時間等方面描述。根據PDM績效考核系統的研究,考核因素有時間、人員和活動,這些映射在數據庫基本信息表中。定義Q為系統考核關鍵參數表,映射關系為:Q=(Start_A,End_A,Start_B,End_B,Con,Type),其中Start_A(B)是計劃起始活動時間(實際),End_A(B)是計劃結束活動時間(實際),Con是控制參數集合,Type是控制點的類型集合。本系統從計劃、角色和任務來反映考核的因素。企業設計人員考核的評分標準主要為按時完成和按要求完成。因此本文主要從時間、質量的控制來考核設計人員。考核控制參數有任務相關時間和退回次數。其中質量的控制,采用審查退回次數來衡量。質量控制參數關系如圖3所示,某個考核任務有ti和屯t i+1環節,下級任務對上級任務考核,返回次數K越多質量成績Ms越低,返回一次,根據考核規則扣除一定的分值H。時間控制參數關系如圖4所示,(t1,t2)是計劃的任務時間段,(T1,T2)是項目計劃的時間段,以t2為基準點,在(t2,T2)和(t2,t1)間分別設立時間域,實際完成時間t落入不同的區域做不同的加減分處理(加減h)。考慮到同時間域在不同任務中的影響程度不同,引入敏感系數b,其與任務總時間、項目總時間成反比關系。靈敏系數越小,趨向目標時間的同段時間域對結果影響越大。因此,得到PDM績效考核算法如下:

式中:S為項目績效考核成績;n為總任務項數;Ts為其第i項任務的進度控制評估得分函數;Ms為第i項任務的質量控制評估得分函數;ai1、ai2為各考核指標權重;t1、t2、T1、T2分別為任務實際完成時間、任務計劃開始時間、任務計劃結束時間、項目開始時間、項目結束時間;h為任務進度加分值,當為負值時,表示任務沒有按時完成,扣除相應的分值;H為每審核退回一次質量控制的扣分值;K為對于某被考核設計人員審核退回次數。
該算法是從工作的數量、質量和時間三個方面制定的。績效標準制定之后,項目組還要在此基礎上專門制作出正式的考核規則。
4 系統數據庫設計
采用實體一聯系方法建立數據模型,用來描述客觀實體之間、實體與屬性之間的聯系。根據數據處理流程分析,設計出圖5所示的績效考核系統E-R關系圖。圖5中,1~1表示一對一的聯系;1~N表示一對多的聯系;N~1表示多對一的聯系;M~N表示多對多的聯系。數據庫模式主要由基本信息表、項目過程的動態表和結果表組成。基本信息表描述的是系統靜態的數據,它的數據來源于企業業務管理部門、設計人員信息和權限等基礎數據。項目過程的動態表的數據來源于項目開發過程中、任務的執行中,系統對過程的記錄。結果表主要有計算考核結果表,根據考核結果進行評價的評價表。

圖5 基于流程管理績效考核系統E-R關系圖
5 結語
本文研究設計的績效考核系統符合配套型中小企業管理制度。該系統可以根據流程管理的數據對設計技術人員的績效進行考核,實現自動化和客觀化。該系統擴展了PDM的功能,并加強了企業人力資源的管理,提高了企業信息管理的效率。
核心關注:拓步ERP系統平臺是覆蓋了眾多的業務領域、行業應用,蘊涵了豐富的ERP管理思想,集成了ERP軟件業務管理理念,功能涉及供應鏈、成本、制造、CRM、HR等眾多業務領域的管理,全面涵蓋了企業關注ERP管理系統的核心領域,是眾多中小企業信息化建設首選的ERP管理軟件信賴品牌。
轉載請注明出處:拓步ERP資訊網http://www.sdyuan.com/
本文網址:http://www.sdyuan.com/html/consultation/1082047657.html
























