一、企業信息化效益的根源與表現
(一)根源
企業信息化是將信息技術手段應用到企業的生產和運營管理上去。通過先進的信息技術和管理手段去整合企業現有的生產、設計、制造、管理、銷售等等,及時地為企業領導提供準確而有效的數據信息和決策參考,改造企業業務活動使之更加有效的過程。
信息化建設的目的是在信息基礎設施和信息資源管理標準之上。依據現代企業管理理論的要求,適應市場競爭的外部環境。對企業工作流程進行改革和優化。通過使用現代信息技術和計算機網絡技術。建立靈活、機動、高效的信息處理和管理系統。企業信息化要在企業全方位、深層次地展開,其主要內容應包括:(1)辦公自動化、信息化(OA)系統;(2)業務處理自動化、信息化(即企業的MIS系統、輔助決策系統);(3)設計、生產過程自動化、信息化(MRP系統、ERP系統、CIMS系統);(4)客戶服務自動化、信息化。
企業信息化的發展始于20世紀中葉,從最初的接口式的商務模式發展到集成商務模式。直到當今的互聯網商務時代,可以說信息技術的變革推動了管理基礎的進步。反思整個信息技術應用于企業的過程。最初的幾年。企業幾乎不關心信息技術究竟能帶來什么。只要是新技術,就會嘗試。那么,究竟是什么原因對用戶產生這么大的誘惑力。使的企業愿意在信息技術方面投資?究其根源,這與信息技術天生的優良特性有很大關系的。主要表現在以下幾個方面:(1)簡單易用的大容量存儲保持了信息可持久的重復使用性;(2)高效快捷的網絡改變了空間與時間的傳統屬性;(3)變復雜運算為簡單運算突破人工計算的極限;(4)IT技術對人的觀念的改變加速效益的產生。
當然,信息技術的優良特性不止是這些,這些特性是在信息技術應用到企業后帶來效益的根源。
(二)表現
企業信息化對企業效益的影響是全方位的,影響企業效益的因素也是多種多樣的。這里,根據企業信息化帶來價值的表現可以分為直接評估的與不可直接評估的效益。
1. 直接效益。企業信息化的效益可以直觀看到的主要表現在兩個方面:效率的提高與成本的降低。現實中,效率提高最直接的表現就是完成同一工作的單位時間縮短。如果一個企業從供應鏈的開始到產品銷售到客戶,通過信息化。各個階段的時間都縮短,整個周期縮短。相關的資金周轉加快,資金時間價值就會為企業產生很大的經濟效益:同時,單位時間內的產量提升。也會給企業帶來更多的收入與競爭優勢。對企業社會形象也會產生較好的影響。另外,信息化的直接效益還表現為成本的減少。在企業運做過程中會產生許多成本。包括:制造成本、銷售成本、庫存成本、管理成本、研發成本等。通過辦公自動化系統。可以降低這些成本。最明顯的例子是通過信息化實現無紙化。大大降低辦公成本、人力成本。通過虛擬制造、虛擬設計可以降低產品研發成本。
2. 潛在價值與無形價值。企業信息化最直接的表現是成本減少,效率的提高,伴隨著這些效益的產生,資金的時間價值是企業信息化帶來的潛在價值。成本減少,可用現金流就會增加,占用的資金就會減少。效率提高。已經占用的資金周轉周期縮短。資金可重復應用的頻率就會增加。資金占用的提前期也會產生新的時間價值。因此,資金的時間價值是企業信息化效益中巨大的組成部分,是一種潛在的價值。
無論成本、效率與時間價值,這些由企業信息化帶來的效益都是可以明確地衡量與計算。間接經濟效益是指不能加以定量計算的那一部分經濟效益,故又稱無形效益。它主要是指提高管理水平、管理效率以及企業信息化建設所引起企業管理上的一系列變革等。例如,企業信息化可能帶來下列間接經濟效益:(1)使管理人員決策及時、準確;(2)可大量及靈活運用數學方法和模型,使決策更科學化;(3)使信息流通結構更趨合理;(4)更好地實現企業目標:(5)提高企業信譽與知名度,擴大影響力,增強競爭力。
二、企業信息化項目投資效益評價方法
信息化的效益評價是一個十分困難的工作。目前常用的技術經濟評價方法是凈現值法。該方法是利用經過風險調整的現金流量或資本成本率來計算凈現值。當凈現值大于零,說明企業信息化建設項目在經濟上可行,反之則不可行。計算投資項目凈現值(NPV)的公式如下:

式中:NPV為凈現值;Ct為企業信息化建設項目每年的凈現金流量;n為計算期;i0為資本成本率。
由于傳統的凈現值法無法對由于企業信息化建設項目的投資而產生的各種發展機會的價值進行評價,容易低估項目本身的價值。近年來期權定價理論的出現及其在投資決策領域方面的應用在這方面彌補了傳統的凈現值評價方法的不足。顯然一項企業信息化項目的投資除了該項目本身形成的現金流外。還為企業今后的發展帶來許多有利的發展機會。例如企業通過信息化項目投資,擁有了管理資源、技術知識、信譽、市場地位和規模方面的優勢。從而相對于不具有該類資源的企業來說,企業在今后的經營過程中具有很多發展機會。企業所持有的投資機會構成了以未來的投資項目為標的的期權。企業在有利條件下進行下一步投資,盡可能獲得最大效益,這相當于執行期權。當環境不利時,企業可選擇進一步放棄投資,其損失僅為期權的成本。因此,為全面評價信息化建設項目的經濟效益,必須計算項目所帶來的各種發展機會的價值,結合期權定價模型,可對傳統的凈現值評價方法作大膽的修正,修正后的凈現值的計算公式如下:
含發展機會價值的凈現值NPV=傳統凈現值NPV+項目所含發展機會的價值
式中:項目所含發展機會的價值,可參考費雪·布萊克(FischerBlack)和梅隆·舒爾斯(Myron Scholes)創立的期權定價模型進行測算。下面舉一例來說明這種評價方法的應用。
某企業信息化項目的投資凈現金流量如表l所示:
表1 凈現金流量表(單位:萬元)

經風險調整后的資金成本率是20%,傳統的凈現值

根據判據,凈現值NPV小于0,該項目經濟上不可行。但如果考慮該項目上馬一年后,如果市場機會看好,則該企業可投資開發某項新產品。估計與開發新產品有關的投資和凈現金流量如表2所示:
表2 開發新產品預計的凈現金流量(單位:萬元)

第0年為基準。則開發新產品的凈現值

顯然,企業信息化項目為企業掙得新產品開發的投資機會。傳統凈現值對該項目的評價明顯存在不足。需要用含發展機會的凈現值進行評價。根據期權定價模型。該投資機會的價值實質上是以初始投資為約定價格的一個買方期權,其標的物為投資項目的價值即投資開發新產品的價值,運用Fischer Black模型可計算出這個投資機會的價值。

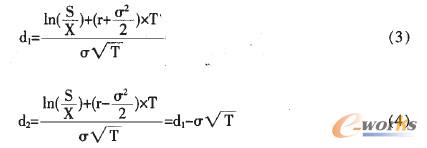
式中:S——期權標的物的價值;X——期權約定價格:r——無風險年利率;T——期權到期期限;N(d1)和N(d2)分別表示在正態分布下變量小于d1和d2的累積概率。其計算公式如下:

其中σ為投資價值相對變動的年標準差,通常取0.2~0.4之間。本例取為0.3,無風險年利率r取為5%。
所以,用期權概念來定義:投資新產品的投資機會的價值等同于一個期限為1年,約定價格為250萬元,標的物當前價值為281.14萬元的買方期權的價值。
經計算得知:d1=0.71,d2=0.41,N(d1)=0.76,N(d2)=0.66,則C=281.14×0.76-250×O.66×e-0.05=56.71萬元
含投資機會價值的凈現值NPV=-18.65+56.71=38萬元>0,說明該企業信息化建設項目在經濟上可行。
從上例可以看出,修正后的凈現值法可以體現投資項目所含發展機會的價值,在實用性上提高了一步。但它與投資回收期法一樣,都還只停留在對直接經濟效益的評價上,回避了難以定量計算但對企業的發展又非常重要的間接經濟效益,所以技術經濟分析法都還不夠完善,無法全面反映企業信息化建設項目的綜合經濟效益。
間接經濟效益評價相對于直接經濟效益評價來講要復雜得多,但絕不能因此而忽視對間接經濟效益的評價。近年來,國外提出的方法有層次分析法(AHP)、模糊綜合評價法(FCE)、灰色評價法(GE)以及精經網絡(NN)等評價方法,都是在進一步探討信息化綜合效益的評價問題,尤其是隨著灰色系統理論的發展和成熟,對于這個問題的解決有了進一步的推進。
三、結論
企業信息化建設項目的經濟效益的評價是當前一個很重要的課題,要對經濟效益作出全面、科學和準確的評價,首先要充分認識信息化效益有多大,而信息化效益不僅包括可直接評價的效益,還有不可直接評價的效益,因此其綜合經濟效益的評價難度比較大。傳統的投資回收期法和凈現值法等評價方法具有較大的局限性。運用期權定價理論對傳統凈現值法進行修正的評價方法,雖可以反映出企業信息化建設投資項目對企業潛在的未來發展機會的價值,但仍回避了對難以定量計算的間接經濟效益的評價。鑒于間接經濟效益對企業的巨大作用和影響,對間接經濟效益的評價可從國外的一些新方法得到啟示,但要最終全面解決綜合經濟效益的評價問題,還有待于利用灰色系統理論成果作進一步的深入探索和研究。
轉載請注明出處:拓步ERP資訊網http://www.sdyuan.com/
本文標題:談企業信息化項目投資效益的評價方法
本文網址:http://www.sdyuan.com/html/consultation/1082044356.html
























