信息化已經成為支撐企業體制改革和產業發展的重要手段,信息化水平被公認為是衡量企業整體實力的重要標志之一。制造企業選擇實施信息化是基于企業生存發展的內在動力和源于競爭對手、顧客等外部壓力綜合作用下的戰略選擇,目的是創造和保持持久的競爭能力。制造業信息化是制造企業將信息化與實際業務和管理有機融合,提升運用信息的能力,從而改善企業經營生產中各個業務環節,達到提高產品質量、降低制造成本等目的,是制造企業提高競爭力的必然選擇。
因此,單純評價信息化的結果本身意義不大,除非它們能夠與實現改進業務目標的使命聯系在一起。制造業信息化績效指標評價不單是對信息技術的評價,更強調信息技術的實施對制造企業經營績效影響的評價。這種以“績效為主”的信息化水平評價可以將制造業信息化建設引導到有效益、有競爭力的發展方向上,是企業信息化建設工作的指南,是避免出現“IT黑洞”和“生產效率悖論”現象的有效方法之一。
1 制造業信息化績效評價指標體系
制造企業信息化指的是制造企業將信息技術、自動化技術、現代管理技術與制造技術相結合,改善制造企業的經營、管理、產品開發和生產等各個環節,提高生產效率、產品質量和企業創新能力,降低消耗,帶動產品設計方法和設計工具的創新,從而全面提升企業的競爭力。制造業信息化績效評價被用來衡量企業信息化業務價值和企業的信息化水平。在分析和總結制造企業的特點的基礎上,從信息化對企業經營成本、效率、質量和管理等4個方面的影響提出了制造業信息化績效評價指標體系,如圖1所示。

圖1 制造業信息化績效指標評價體系
2 灰色模糊綜合評價模型
a.建立評價因素(即評價指標)集U={u1,u2,…,un}={采購成本,制造成本,周管理成本,產品質量,過程質量,管理水平,工作效率,設備利用率,生產周期},n=9。
b.灰類劃分(確定評價等級)ri。將各個指標按等級劃分灰類,記為V={v1,v2,…,vk}={優,良,一般,差},k=4。
為了方便評價,每一個評價指標的取值范圍都為0~10,并且每個指標都按相同的標度劃分不同的等級。在區間[0,r1]上為差,[r1,r2]為一般,[r2,r3]為良,[r3,10]為優。r1,r2,r3取值分別為6,8,9。
c.建立指標樣本矩陣D。
設有m位專家參加評價,把第s位專家對j個指標的評價量樣本記為dsj,得到m位專家對各指標的評價樣本矩陣:

d.建立灰類白化權函數。
每個評價指標的等級都是一個變化范圍,這個范圍是個灰數。在這個確切的范圍內的任何一個白化數對該區間所對應的灰數親疏程度用白化函數來表征。
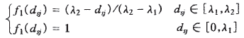
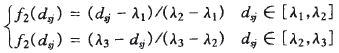
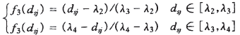
λ1=r1/2,λn=2rn-λn-1,λi=ri+ri-1,其中:i=2,3,…,k-1。
根據公式計算各類白化函數的閾值得:λ1=3.0,λ2=7.0,λ3=8.5,λ4=9.5。因此得到各類灰數的白化權函數以及函數圖(圖2)。

圖2 閾值及白化函數
(1)灰類
∈[0,λl,λ2],如圖2(a)所示。

(2)灰類
∈[λl,λ2,λ3],如圖2(b)所示。

(3)灰類
∈[λ2,λ3,λ4],如圖2(c)所示。

(4)灰類
∈[λ3,λ4,+∞],如圖2(d)所示。

e.灰色模糊評判矩陣R
求出dsj屬于第i個灰類的權值fi(dsj),記nji為j個評價指標在i個灰類的權值:
;灰色評判矩陣中
,由rij構成的灰色模糊評判矩陣為:

f.確定評價指標權重。采用層次分析法確定各個評價指標的權重w。
g.灰色模糊綜合評價
利用公式B=W·R,即可計算出信息化績效水平相關隸屬度。根據最大隸屬度原則,得出該制造企業信息化績效水平的隸屬等級。
3 實例研究
運用文中提出的方法對某軍工制造企業信息化績效水平進行分析評價。首先聘請5位相關的專家根據績效評價指標體系對該企業信息化績效水平給出評價,得到評價樣本矩陣見表1。
表1 評價樣本矩陣

a.計算灰色評價矩陣。根據灰色模糊評價步驟d,e計算出指標屬于各灰類的權重為:

由此得到評價矩陣R中列元素r11=0,r21=0.400,r31=0.500,r41=0.100。
同理可求出其他指標的各類灰色權重值,并進而得到灰色模糊評判矩陣:

b.確定指標的權重集合
根據層次分析法(AHP),依次計算指標體系各層的權重。
第一層的計算結果如下:
W1=(成本,質量,管理,效率)=(0.161,0.356,0.165,0.317)
第二層的計算結果如下:
W21=(采購成本,制造成本,管理成本))=(0.211,0.680,0.109)
W22=(產品質量,過程質量)=(0.632,0.368)
W23=(工作效率,設備效率,生產周期)=(0.105,0.636,0.258)
因此得到評價指標的總權重W為:
W=(0.034,0.109,0.018,0.225,0.131,0.165,0.033,0.202,0.082)
c.灰色模糊綜合評價
根據公式B=W · R,得出計算結果為B=(0.030,0.376,0.399,0.216)。根據最大隸屬度原則,最大值為0.399,屬于第三灰類。由此表明,該制造企業信息化績效水平等級為良好。
4.結束語
本文從制造業企業引進信息化之目的和戰略出發,對信息化績效評價方法進行了研究。從成本、質量、效率和管理等4個方面初步建立了制造企業信息化績效評價指標體系,在灰色理論和模糊評價的基礎上建立了灰色模糊評價模型,同時用一個實例驗證該評價方法是可行的。本文僅從成本、質量、效率和管理等方面建立指標體系,各指標較為宏觀不夠細化,對評價效果有一定的影響,還需要進一步地探索和研究。
核心關注:拓步ERP系統平臺是覆蓋了眾多的業務領域、行業應用,蘊涵了豐富的ERP管理思想,集成了ERP軟件業務管理理念,功能涉及供應鏈、成本、制造、CRM、HR等眾多業務領域的管理,全面涵蓋了企業關注ERP管理系統的核心領域,是眾多中小企業信息化建設首選的ERP管理軟件信賴品牌。
轉載請注明出處:拓步ERP資訊網http://www.sdyuan.com/
本文標題:制造業ERP信息化績效評價方法研究
本文網址:http://www.sdyuan.com/html/consultation/10820410912.html
























