區域信息化的測度,是指從定量角度來考察國家或地區的信息化系統及其環境的現狀、質量和發展潛力,反映國家或地區信息化的程度與進度,通常采用信息化指數模型表示。
準確客觀評價區域信息化是信息化建設的重要任務之一。信息化定義一般基于宏觀抽象范疇,難以具備操作和精確量化。無論是對信息化進行深入研究,還是在社會經濟總體發展政策體系中體現信息化思想和目標,都必須首先建立信息化的量化評價指標體系。
指標用于描述對象某一類屬性或綜合屬性。區域信息化過程廣泛涉及人口、資源、環境、經濟、社會、技術等諸多方面,所以簡單采用個別指標往往不能客觀評價信息化過程,需要根據信息化系統特點,從不同側面不同層次,結合其時空變化,建立一整套指標體系,對信息化發展進行客觀定量評價、分析比較,以及時發現問題并采取相應對策,確保信息化目標的實現。但建立能夠全面反映信息化狀況與結構的指標體系并非易事,原因在于:
·信息化是不同地域空間內社會經濟諸多要素相互作用、協同耦合的過程,具有復雜性、動態性、開放性、非線性等特點;
·由于信息化過程本身的復雜性,不同專家立足于各自不同學科領域、不同知識背景,考慮問題側重點大不相同,建立的指標體系各具特色;
·信息化指標體系各項參數應容易獲得,指標體系及評價結果能獲得決策者認可,利用指標體系進行定量評價過程要具有實際可操作性。
在實際研究及應用中,要較好地同時滿足上述三點較為困難。因此,建立信息化指標體系必須以信息化的基本規律為基礎,關注信息化要素過程特點及其與環境間相互作用關系,確定評價信息化系統狀態的指標集合。這種指標集合不是簡單拼湊和堆砌,而是對復雜系統特性的多指標綜合評價,即把多個描述被評價事物不同方面、不同層次且量綱不同的統計指標,轉化成無量綱的相對評價值,并綜合這些評價值以得出對事物整體的評價。
1 以往信息化測度方法評價
目前較有影響的信息化測度模型是馬克盧普-波拉特信息化分析測算方法和社會信息化指數模型。相比較而言,前者從信息產業角度出發建立了穩固且令人信服的評價體系,但需要合理的統計體系和詳實統計資料支持;后者具有簡便易用的優點,但評價體系只具有相對完備性,測度的信息化發展水平只具有相對意義。
1.1 馬克盧普-波拉特統計測度方法
借助國民生產總值賬戶體系統計指標,將信息部門增加值從社會總增加值中劃分出來,形成對信息經濟的測度。這種統計方法的優點是可以根據具體部門和環境考慮信息要素的分配和結構,目前世界各國普遍采用此法測度信息經濟。然而馬克盧普-波拉特統計方法中存在明顯缺陷,如信息產業外延太廣,將第二產業中部分部門也包括在內;又因將非信息部門的信息活動排除在外,間接反映了社會信息化水平,且計算過于復雜,難以經常進行。
1.2 社會信息化指數模型
日本學者70年代提出依據某些綜合的社會統計數字,匯總成一個總體指標,從衡量社會的信息流量和信息能力等來反映社會信息化水平。該模型包括信息量、信息裝備率、通訊主體水平、個人消費信息比率4個因子及11個指標。該模型統計資料易獲得,計算簡單,實用性強,且可進行時序列測算,但算術平均的采用違背了任何事物都有輕重緩急之分的科學原理,掩蓋了實質上的差別。隨著時代發展,其指標已嚴重過時,難以反映信息化發展趨勢和最新成果。
1.3 信息化測度方法存在的問題
從區域信息化指標體系的研究現狀來看,存在以下問題:選擇指標不能真實反映信息化發展的最新成果,嚴重落后于信息化現實;沒有正確區分信息產業與信息化差別,將信息化指標體系等同于信息產業指標體系;沒有處理好信息化系統與傳統經濟、社會、資源、環境等系統的關系,偏重信息經濟發展,缺乏信息環境的考慮;指標體系中選擇了過多數量指標,質量指標較少;只注重信息化水平的評價,忽略信息化質量、能力評價,信息化狀況評估不但應包括發展水平,更重要的是評估區域科技、教育、法規建設、管理等方面對信息化的支持;忽視信息化階段性、空間性;指標體系過于龐大,可操作性不強等。
2 區域信息化指標體系
區域信息化測度應從發展水平、發展質量、發展能力3個方面來概括。發展水平主要指區域信息化發展狀況,包括信息化要素的數量和規模;發展質量側重信息化系統結構和經濟效益;發展能力是指信息化系統中的可持續能力建設,涉及自然、經濟、文化、教育、科技、管理等綜合指標。信息化指標體系框架中每個綜合指標都可以從時間、空間、結構、效益4個屬性來全面反映其特征。照此構建指標體系可極大減少任意性。
2.1 信息化指標體系發展方向
隨著信息化發展,對信息化指標體系的研究將不斷深化。區域信息化系統作為一個多維復雜的巨系統,其評價必然向時序與空間相結合、數量與質量相結合、主觀與客觀相結合的方向發展。加強信息化指標體系空間性的研究有利于從空間上來預測和分析區域的發展趨勢,為區域信息化規劃服務。
(1)指標的選取、權重的確定將更加客觀實際。目前信息化評價指標的選取一般采用理論分析、專家咨詢、頻度統計及相關性檢驗等方法,主觀性較大。權重確定則采用層次分析法并加以改進,但仍不能避免較強的主觀臆斷性。信息化評估應減少人為因素的影響,減少主觀性,增加科學性和客觀性。
(2)評估模型更加科學合理。以往信息化評估由于大多采用加權迭加方法,導致子系統內部或子系統之間的評價值能夠相互替代,影響了評估結果的科學性。采用加權求積法誤差也較大。當務之急是構造科學評估模型來減少評估過程誤差,減少評估結果的失真。
2.2 區域可持續發展信息化指標體系原則
進行區域信息化狀況的評價研究,必須結合區域具體情況,貫徹實施可持續發展思想,將其納入指標體系的構建過程,注重信息化質量能力的評價和空間效益,指導實施信息化戰略的實踐。在信息化指標體系設計上,應遵循以下原則:
(1)客觀性原則。不能盲目照搬照抄國外的評價方法。指標體系的設計應結合我國國情和經濟發展水平。國外注重信息化的純經濟效益、微觀配置,我國處于信息化初級階段,強調政府宏觀調控、國家信息化要素的作用。
(2)階段性原則。經濟發展是信息化的基礎,區域的信息化水平要受到經濟發展條件的限制,為其經濟實力所左右。區域信息化按其經濟發展水平可分為不同的階段。對處于不同經濟發展水平的地區,用同一信息化指標體系來評價自然得不出正確的結果。因此只有區分區域信息化的階段性,才能科學合理地評價不同經濟發展水平的地區的信息化狀況。
(3)客觀評價與主觀評價相結合的原則。由于信息化系統包含自然、經濟、社會等要素,大部分指標用統計數據計算,但也有少數指標屬公眾主觀感覺量。所以指標體系中既有客觀指標又有主觀指標。區域信息化水平的提高不僅體現在量的變化上,還表現在主觀感受程度的提高上。因為人是信息化的最終檢驗者,信息化發展的最終目標是滿足人的需要。人們的滿意度只有經過主觀調查,通過對主觀指標的分析才能得到。因而,必須結合主觀調查等評價方法,以了解人們對區域信息化的評價、感受和滿意度等,作為客觀評價的補充和深化。
(4)可操作性原則。任何科學、完善的指標體系都必須經過評估實踐檢驗,因此要充分考慮其可操作性,用盡量少的指標來反映區域信息化的總體狀況,即指標覆蓋性與概括性相結合。指標要具有可測性和可比較性,同時計算方法容易掌握,所需數據容易獲得。在整體完備性基礎上,指標體系應力求簡潔,盡量選擇那些有代表性的綜合指標,適當增加輔助指標。
(5)系統性原則。區域信息化系統因素多,分布廣,關系復雜。建立指標體系應按照系統論觀點,把相關系統發展納入整體,處理好部分與整體、具體行動和系統目標之間的關系。指標體系應作為一個有機的整體,不但應從各個層次、各個角度反映被評價對象的特征和狀況,而且還要體現對象的變化趨勢,反映對象的發展動態。對各指標按層次分析進行排序,賦予不同權重,符合事物發展規律,突出信息化本質特征。
(6)空間性原則。信息化評價不僅要注意時間序列發展變化,同時必須兼顧區域信息化的空間性,科學地評價、描述區域信息化的空間分布特征及空間變化情況,分析其空間差異,因地制宜地貫徹實施信息化戰略,走適合本區域特點的信息化的道路。
(7)水平與能力相結合的原則。注重信息化能力的描述,改變重水平輕質量的作法,把當前行為和長期目標結合起來。信息化能力是區域信息化要素、環境對信息化系統發展的支持與保障能力,是區域信息化的內在動力,決定未來信息化水平的高低。因而,對區域信息化狀況的評價,不能局限在僅僅評價其信息化水平,更應重視信息化能力的評價。信息化能力應包括經濟發展、社會穩定、教育發展、科技進步及管理調控能力等。
(8)靜態和動態相結合的原則。靜態指標主要反映當前發展水平,動態指標則反映區域系統的發展趨勢,具有預測功能。如“信息產業GDP增長率/人口增長率”能夠反映當地信息經濟與人口之間協調潛力。靜態指標與動態指標相結合,才能較好地表示區域信息化系統的持續特征。
(9)數量與質量相結合的原則。信息化要素有數量和質量之分,數量指標是要素規模大小的度量,而質量指標才能表示要素結構層次、空間分布、效率水平等屬性。應分別從數量和質量兩個方面反映要素特征。
(10)定量與定性相結合的原則。目前信息化指標體系幾乎均以定量指標為主,完全采用統計部門的數據推算。事實上,信息化系統中還有部分無法直接統計的定性指標。如信息化作為國家基本戰略,必須是一種政府行為,政府的推動、管理、調控能力是實施信息化戰略的必要條件,但政府對信息化的管理調控能力,如信息政策、信息法規的科學性合理性只能作定性判斷。
(11)穩定性和動態性相結合的原則。為了便于研究和比較,指標體系的內容不宜變動過頻,在一定時期內,應該保持相對穩定性。但隨著描述對象發展重點和目標的調整,指標體系也應進行適當調整,即指標體系也應體現動態性。
2.3 信息化指標體系的空間性
區域信息化指標體系的主要作用是定量描述和綜合評價區域信息化過程,用于解釋區域信息化過程中出現的問題和矛盾,對發展趨勢進行預測。由于區域信息化過程是在不同尺度地域空間內諸多社會、經濟、自然要素相互作用、相互耦合的過程,具有多維立體空間結構,包括數量維、質量維、時序維和空間維,信息化指標體系應體現四維特性的統一。
建立區域信息化指標體系應考慮區域自然和社會人文要素空間分布差異性的層次定位特點,結合國家宏觀經濟環境及發展目標,區域在整個國民經濟中的分工與位置,區域自然和人文資源優勢,區域產業結構及生產力空間分布特點,區域經濟增長方式及與其他區域交流與開放程度等來進行。
2.4 信息化指標體系的建立過程
區域信息化指標體系的建立過程包括體系框架設計、指標選擇、數據采集與處理、數據庫建設、模型運算、空間疊加分析、可視化表達等步驟。
(1)指標數據的獲取。指標數據獲取包括:統計資料;部分主觀指標采用問卷調查方式獲取;普查數據;實測數據,如遙感數據、網站數據等。
(2)空間和屬性數據庫的建立。空間數據數字化在地理信息系統軟件支持下進行,地圖掃描,分層輸入,將空間數據庫和屬性數據進行相關鏈接。
(3)確定指標權重。指標權重即各個指標在整個體系中相對重要性的數量表示。權重確定合理與否對綜合評價結果和評價質量有決定性影響。傳統確定權重的方法多依據經驗進行定性分析,由于受主觀因素的局限,直接同時分析判斷多個指標的權重不但非常困難,而且難以準確。區域信息化評價指標體系龐大,本文采用改進的層次分析法(IAHP)來確定各指標的權重。步驟如下:
根據指標體系遞階層次結構對各要素兩兩比較采用1—9標度法,經專家根據經驗定性分析判斷,確定各因素間相對重要性比值,建立比較判斷矩陣,通過矩陣運算和一致性檢驗,得到各個因素相對于上一層次對應因素相對重要性的權值,即層次單排序。計算出各指標的單排序權值后,按照層次結構自上而下逐層與所對應的上層因素權值進行加權,計算出各要素相對于總目標的權重,即層次總排序,進而確定出各個指標的權重。
(4)消除指標量綱,進行指標價值量化。信息化評價指標體系的各個評價指標之間,由于其量綱、經濟意義、表現形式以及對總目標的作用趨向不同,不具有直接可比性,必須對其進行無量綱處理,消除指標量綱影響后才能計算綜合評價結果。
(5)空間疊加分析。將價值量化后的指標,作為地圖要素的屬性值,存儲于數據庫中,采用GIS空間疊加功能,通過不同圖層之間的疊加計算,合并屬性,生成結果圖層。
(6)可視化表達。在平面地圖基礎上將信息化指標作為區域高程,拉伸生成三維真實地圖,使信息化系統及要素的空間分布規律得以直觀體現。
2.5 信息化指標體系的組成
從發展狀況、質量、能力建設三個方面考慮來建立區域信息化指標體系,有關指標分別為發展指數(DI)、質量指數(QI)、能力指數(CI)。這三個指數構成區域信息化綜合指數(RISI),即:
RISI=f(DI,QI,CI)
發展指數(DI)反映區域的信息化發展現狀水平;質量指數(QI)主要反映區域信息化的效益體現程度,包括穩定性(波動情況)、公平性(空間差異)、持續性等;可持續能力指數(CI)反映對區域未來發展的影響,從資源、環境、人口、經濟、科技、決策管理水平、開放程度等方面來衡量區域信息化潛力建設。
信息化指標體系的建立應深入結合區域特點,考慮信息化發展現狀及中長期發展目標以及與人口、資源、環境之間的關系,同時注意反映區域人文和自然要素的空間分布差異(劃分地區發展類型,不同要素在不同類型中占據不同權重)。在具體指標選取上,以全國及省區統計年鑒所載的統計指標為主,同時包括信息產業部的行業最新統計指標,使體系具有較強的實際可操作性。
3 區域信息化指標體系的實現
區域信息化評估由于涉及許多指標,各區域間指標數值互有高低,必須把各指標的情況綜合起來形成單一指數,以符合多目標綜合評價的要求。顯然各個指標不能進行簡單相加和羅列。這是因為:首先由于各指標的性質和計量單位不一樣,有些指標是總量指標、絕對指標,有些是相對數指標,還有人均指標,這些不同性質和計量單位的指標無法簡單相加;其次由于各指標在整個指標體系中所處重要程度不同,簡單相加不能體現出各指標的重要性程度。在科學地解決指標權重和無量綱處理問題的前提下,采用量化值加權函數法能使評價過程一目了然,充分發揮出指標的導向作用。
由于區域的信息化過程涉及因素多、持續時間長,又兼有多要素時空耦合、作用機制極為復雜的特點,所以指標體系中羅列的指標較多,實際計算起來繁瑣,而且有些指標(如決策管理水平等)量化問題尚待進一步解決。依靠傳統層次分析法確定各指標的權重不免帶有主觀化的傾向,而采用改進三標度層次分析法(IAHP),綜合考慮多方面專家的意見,可使權重的確定更客觀,評價結果更符合客觀實際。
3.1 采用改進的AHP計算指標權重
指標是區域信息化系統功能與結構的指示器。由于區域信息化系統的多維性,各項指標對區域信息化系統的作用不同,具體反映在綜合評價的指標權重分配上。傳統權重分配常用Delphi專家咨詢法和層次分析法(AHP)。其中Delphi法不僅對咨詢專家要求較高,而且多輪咨詢的工作量較大;AHP采用九標度刻畫比較判斷結果,使專家感到操作困難。根據實驗心理學定律提出改進的三標度層次分析法(IAHP),其計算步驟如下:
點擊圖片查看大圖
·任一列元素歸一化即為權重向量。
三標度層次分析法(IAHP)具有操作簡便、結果客觀、完全一致性等優點。
由于區域信息化系統指標具有一定不可替代性,單純加權求和難以刻畫該特征,應采用加權求和與加權求積相結合的綜合評價方法。在低層指標綜合時可適當采用幾何平均,以強調指標的獨立性;在高層復合指標的綜合時則采用加權求和計算,以反映系統的迭加性。
3.2 無量綱處理
無量綱處理,即對評價指標數值的標準化、正規化處理,是通過一定數學變換來消除指標量綱影響的方法,即把量綱各異的指標轉化為可以進行綜合的相對量化值。
由于信息化評價指標體系中有正向指標,逆向指標和適度指標,指標間的優劣沒有明晰的數量界限,很大程度上帶有一定的模糊性,采用模糊量化的方法比較適宜。運用模糊隸屬度函數的方法對各個指標進行無量綱化處理,即對指標數值的實際價值進行量化。
3.2.1 確定各個評價指標上下限
進行模糊量化首先需要確定各個評價指標上下限。具體確定過程中,對正向指標以各區域數值最大者為Xim,最小值為0;逆向指標以各區域數值最小者為Xin,根據該指標性質及信息化要求確定其閾值,指標如超過閾值就予以排除;對于適度指標,首先根據指標性質和信息化的要求確定其適宜數值Xin,即信息化最佳點;其次是圍繞Xio分別確定其上下限閾值Xim和Xin,其過程類似于確定各評價指標的標準。
3.2.2 確定各指標模糊隸屬度函數類型
在模糊數學中,把某事物隸屬于某一標準的程度,用[0,1]區間內的一個實數來表示。“0”表示完全不隸屬,“1”表示完全隸屬。模糊隸屬度函數用于描述這一漸變過程。為了計算簡便,根據信息化評價指標體系中所列各指標的性質,選擇線性模糊隸屬度函數進行量化。函數主要有3種類型:
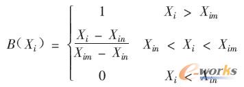
對正向指標,采用半升梯型模糊隸屬度函數進行量化,即:
點擊圖片查看大圖
式中:B(Xi)——第Ci或Di指標實際數值的隸屬度值;Xi——第Ci或Di指標的具體實際數值;Xim——第Ci或Di指標的上限值;Xin——第Ci或Di指標的下限值。
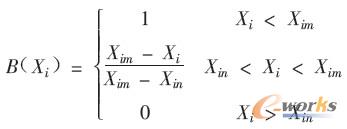
對逆向指標,采用半降梯形模糊隸屬度函數進行量化,即:
點擊圖片查看大圖
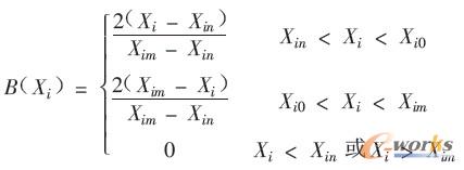
對適度指標,采用半升并降梯形模糊隸屬度函數進行量化,即:
點擊圖片查看大圖
式中:Xio——第Bi、Ci、或Di指標的最適度值。
將各指標實際值Xi代入相應模糊隸屬度函數,求出其隸屬度值(量化值)B(Xi)。量化值消除了量綱的影響,使不同指標之間有了可比性。B(Xi)越大,表明該項指標實際數值的價值接近最先進值的程度越大。
3.3 定性指標的量化處理
指標體系中有許多定性指標,其指標本身沒有具體數據。此類指標在量化時可根據各個區域的實際情況進行相互比較并采用定性分類的方法進行量化分級。一般可分成“理想”、“較理想”、“一般”、“較差”、“很差”,并分別用9、7、5、3、1表示。如實際比較認為界于這幾種類型的中間,可分別采用8、6、4、2表示。然后按正向指標方法進行無量綱化處理。
3 區域信息化指標體系的實現
區域信息化評估由于涉及許多指標,各區域間指標數值互有高低,必須把各指標的情況綜合起來形成單一指數,以符合多目標綜合評價的要求。顯然各個指標不能進行簡單相加和羅列。這是因為:首先由于各指標的性質和計量單位不一樣,有些指標是總量指標、絕對指標,有些是相對數指標,還有人均指標,這些不同性質和計量單位的指標無法簡單相加;其次由于各指標在整個指標體系中所處重要程度不同,簡單相加不能體現出各指標的重要性程度。在科學地解決指標權重和無量綱處理問題的前提下,采用量化值加權函數法能使評價過程一目了然,充分發揮出指標的導向作用。
由于區域的信息化過程涉及因素多、持續時間長,又兼有多要素時空耦合、作用機制極為復雜的特點,所以指標體系中羅列的指標較多,實際計算起來繁瑣,而且有些指標(如決策管理水平等)量化問題尚待進一步解決。依靠傳統層次分析法確定各指標的權重不免帶有主觀化的傾向,而采用改進三標度層次分析法(IAHP),綜合考慮多方面專家的意見,可使權重的確定更客觀,評價結果更符合客觀實際。
3.1 采用改進的AHP計算指標權重
指標是區域信息化系統功能與結構的指示器。由于區域信息化系統的多維性,各項指標對區域信息化系統的作用不同,具體反映在綜合評價的指標權重分配上。傳統權重分配常用Delphi專家咨詢法和層次分析法(AHP)。其中Delphi法不僅對咨詢專家要求較高,而且多輪咨詢的工作量較大;AHP采用九標度刻畫比較判斷結果,使專家感到操作困難。根據實驗心理學定律提出改進的三標度層次分析法(IAHP),其計算步驟如下:

·任一列元素歸一化即為權重向量。
三標度層次分析法(IAHP)具有操作簡便、結果客觀、完全一致性等優點。
由于區域信息化系統指標具有一定不可替代性,單純加權求和難以刻畫該特征,應采用加權求和與加權求積相結合的綜合評價方法。在低層指標綜合時可適當采用幾何平均,以強調指標的獨立性;在高層復合指標的綜合時則采用加權求和計算,以反映系統的迭加性。
3.2 無量綱處理
無量綱處理,即對評價指標數值的標準化、正規化處理,是通過一定數學變換來消除指標量綱影響的方法,即把量綱各異的指標轉化為可以進行綜合的相對量化值。
由于信息化評價指標體系中有正向指標,逆向指標和適度指標,指標間的優劣沒有明晰的數量界限,很大程度上帶有一定的模糊性,采用模糊量化的方法比較適宜。運用模糊隸屬度函數的方法對各個指標進行無量綱化處理,即對指標數值的實際價值進行量化。
3.2.1 確定各個評價指標上下限
進行模糊量化首先需要確定各個評價指標上下限。具體確定過程中,對正向指標以各區域數值最大者為Xim,最小值為0;逆向指標以各區域數值最小者為Xin,根據該指標性質及信息化要求確定其閾值,指標如超過閾值就予以排除;對于適度指標,首先根據指標性質和信息化的要求確定其適宜數值Xin,即信息化最佳點;其次是圍繞Xio分別確定其上下限閾值Xim和Xin,其過程類似于確定各評價指標的標準。
3.2.2 確定各指標模糊隸屬度函數類型
在模糊數學中,把某事物隸屬于某一標準的程度,用[0,1]區間內的一個實數來表示。“0”表示完全不隸屬,“1”表示完全隸屬。模糊隸屬度函數用于描述這一漸變過程。為了計算簡便,根據信息化評價指標體系中所列各指標的性質,選擇線性模糊隸屬度函數進行量化。函數主要有3種類型:
對正向指標,采用半升梯型模糊隸屬度函數進行量化,即:

式中:B(Xi)——第Ci或Di指標實際數值的隸屬度值;Xi——第Ci或Di指標的具體實際數值;Xim——第Ci或Di指標的上限值;Xin——第Ci或Di指標的下限值。
對逆向指標,采用半降梯形模糊隸屬度函數進行量化,即:

對適度指標,采用半升并降梯形模糊隸屬度函數進行量化,即:

式中:Xio——第Bi、Ci、或Di指標的最適度值。
將各指標實際值Xi代入相應模糊隸屬度函數,求出其隸屬度值(量化值)B(Xi)。量化值消除了量綱的影響,使不同指標之間有了可比性。B(Xi)越大,表明該項指標實際數值的價值接近最先進值的程度越大。
3.3 定性指標的量化處理
指標體系中有許多定性指標,其指標本身沒有具體數據。此類指標在量化時可根據各個區域的實際情況進行相互比較并采用定性分類的方法進行量化分級。一般可分成“理想”、“較理想”、“一般”、“較差”、“很差”,并分別用9、7、5、3、1表示。如實際比較認為界于這幾種類型的中間,可分別采用8、6、4、2表示。然后按正向指標方法進行無量綱化處理。
4 區域信息化發展指數
區域信息化發展指數是在國家信息化要素中,選擇反映信息化發展水平典型指標和對指標加權、排序、綜合計算而成,具體數據通過國家、部門和地區各類統計報表、有關單位抽樣統計獲取,主要應用于國家信息化發展水平縱向比較和地區間橫向比較。指標數據絕大部分可在現有的統計數據中得到,個別數據通過定向調查獲得。該指數不僅反映國家或地區的信息化發展水平,而且反映信息化各個要素之間的平衡發展狀況,反映信息化建設與國民經濟和社會發展之間的協調一致性。
指數模型的構造力求全面、綜合、深入地反映信息化系統發展水平與狀況,重點突出信息技術最新成果(計算機網絡、現代通訊、多媒體等)及其應用發展。模型如表1所示,它是由3層結構45個具體指標組成的、包括國家信息化體系6大要素的有機整體,較為完整地覆蓋了信息化系統的各個方面,所選指標具有典型的代表意義。
其中信息資源劃分為計算機網絡、科技成果、視聽媒體和傳統書刊4個類別,選擇人均數據庫數量、網站數量、科技成果數量、專利數量以及圖書出版量等12個指標。信息產業主要根據產業規模進行評價,包括人均信息產業GDP、信息產業增加值占GPD,比重等指標。考慮到信息產業發展初期高投入、效益滯后的特點,增加人均信息產業投資和人均信息產業固定資產增加值作為補充。信息設施狀況主要采用計算機、電信、廣電網絡密度等指標。信息技術應用包括國家信息化、行業信息化及個人信息化等范疇,有針對性地選擇國家級重大信息項目投資(如金字工程)、行業信息化投資率、信息系統普及率、人均信息消費比例、信息設備普及率等指標。信息人才側重于信息人員(包括其他產業及政府部門信息人員)、科研人員、高教人員占總人口比例。對于信息政策,采用定性及定量相結合的方法,對區域信息化領導機構、區域信息化政策及其效應進行分析評價。
指標確定后,采用正向線性標準化函數進行簡單處理,去除量綱影響和取值范圍影響,將各地區三級數據分布在[0,1]區間,然后乘以各自權重后相加,得到二級指數;經過再次標準化加權運算,產生區域信息化發展指數。
確定權重原則為:總和為100,信息資源18,信息設施16,信息技術應用18,信息產業18,信息化人才15,信息化政策15。
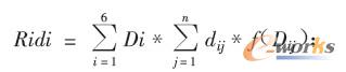
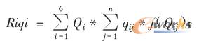
信息化水平指數的計算公式是:

其中:Di為區域信息化發展三級指標權重,dij為四級指標權重,f(Dij)為區域信息化發展指標。
結果(圖1)表明,沿海地區以較大優勢領先于中西部地區。北京(99)、上海(75)、天津(51)、廣東(47)分居我國信息化發展前列。第二梯隊包括吉林(22)、浙江(33)、福建(34)、江蘇(27)、遼寧(30)等,而西藏(5)、廣西(14)、貴州(7)等位于相對落后的位置。由于上述統計指標采用人均值,某種意義上抵消了地區內部信息化發展狀況的差異,同時受人口數量影響較大,因此出現個別沿海人口眾多地區信息化發展指數低于內陸地區的局面,但其總體結果是客觀可信的,基本反映了我國信息化發展的水平狀況。
表1 區域信息化發展指數


圖1 各地區信息化發展指數
5 區域信息化質量指數
將信息化要素劃分為時間(波動系數)、空間(區位差)、結構(要素比例)和效益質量(經濟評價)4種形式,對信息化系統質量進行全面評價。
信息化質量評價的指標體系如表2所示。信息化質量評價首先是信息化系統結構的確定。一般而言,按照信息技術的發展趨勢,將信息化系統要素劃分為傳統與現代兩種類型。傳統信息資源包括報刊、書籍、影視、廣播等,現代信息資源主要以網絡信息服務和數據庫為代表。兩者之間的比例關系是衡量信息化質量的重要指標。其次,可根據信息化要素主要指數(如信息人才增長率、信息產業人均效益增長率等)在一定時期內的波動變化規律,對信息化運行質量(穩定性、持續性)進行有效評價。第三,信息化系統的經濟評價,采用經濟模型與統計數字分析信息化要素經濟效益,如投入產出比、信息業勞動生產率等,用于衡量信息化系統的集約化程度和先進性。
表2 信息化質量指數

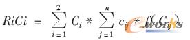
信息化質量指數的計算公式是:

其中:Qi為區域信息化發展三級指標權重;qij為四級指標權重;f(Qij)為區域信息化發展指標。
在信息化質量評價中,信息化的空間效益的描述最為特殊,一方面由于空間評價自身的復雜性,不同信息化要素的空間特征不同,再者信息化空間規律的研究目前仍處于探索階段。本文中信息化空間評價主要側重于兩部分。一是信息化宏觀布局,即分散與集聚效益。在我國信息化發展初期階段,其空間布局特征應該以集聚為主兼顧區域平衡。二是信息化微觀配置,即信息產業的地域空間模式。針對我國不同區域特征,劃分不同的發展類型。
通過對各地信息化質量評價(圖2),發現區域信息化運行質量與其發展水平大致呈正相關性,但個別地區存在差異。該現象說明信息化發展必須注重效益、優化結構、合理布局,才能在激烈競爭中保持領先地位。而對于后進地區,如果能把握時機、集中優勢,采用科學的發展戰略,完全可能實現跨越發展。

圖2 各地區信息化質量指數
6 區域信息化能力指數
與發展、質量評價不同,信息化能力評價不僅針對區域信息化系統自身,亦注重信息化的社會經濟文化基礎,即信息化環境系統狀況。這是因為,信息化是社會經濟的產物,信息化發展必須依賴其環境提供各種有效支持,尤其我國尚處于信息化初級階段,必須兼顧信息經濟與傳統經濟互補共進的雙重任務。
信息化能力評價的指標體系如表3所示,其能力指數的計算公式為:

其中:ci為各區域信息化潛力指標權重;f(Cij)為區域信息化系統能力指標、環境能力指標。信息化發展現狀不能決定信息化最終歸宿,信息化初始格局也并非終極格局,當國家信息化宏觀運行環境基本建立后,情況各異的區域信息化進程,必然導致信息化要素重新排序布局。政策先進、環境優良、特色顯著并受國家大力扶植的地區會迎頭趕上、脫穎而出;政策保守、結構失衡、布局不合理的地區,即使早期信息化發展具有一定規模,也會在新一輪競爭中逐漸落伍。
表3 區域信息化能力指數

按照信息化發展相關要素的組成,將信息化環境分為環境質量、基礎設施、經濟發展、商業金融、人民生活、社會保障、社會穩定、教育科技文化、對外開放以及人口素質10個方面,分別選取代表指標進行衡量,根據其作用程度賦予不同權重,模型運算后得到區域信息化環境系統的綜合評價。
區域信息化能力指數由2個二級指標、15個三級指標和45個四級指標組成。對于信息化系統,決定長遠發展的主導因素包括信息化發展指數、信息化質量指數、信息化主要指標發展速度、信息化系統持續程序(信息化系統內部支持激勵機制),并將專家系統對區域信息化發展趨勢的分析模擬結果作為指標的補充納入其中。
結果表明,各地信息化能力指數與發展指數、質量指數存在強一致性,符合信息化發展的客觀規律,即信息化是社會經濟發展一定階段的產物。但信息化發展能力指數僅代表未來的某種可能性,該可能性的最終落實要依靠信息化的正確決策和科學實施。
根據信息化水平和能力指數,將各區域進行排序,比較區域之間信息化水平和能力前后順序,衡量區域間實施信息化戰略的效果。將同區指數進行時間序列的縱向比較,可分析出信息化進程及其規律,體現信息化發展的可持續性。如果信息化水平提高但能力下降,則說明信息化發展缺乏后勁,有演變為不可持續性發展的可能性。將各區域指數進行橫向比較,可分析出區域之間信息化系統及子系統的發展變化情況及相互差距,分析各自優劣勢,找出信息化過程中存在的問題和薄弱環節,進而有針對性地提出促進信息化的有效措施。
各區域信息化能力指數的比較如圖3所示。

圖3 各地信息化能力指數
7 區域信息化綜合指數
在區域信息化發展指數、區域信息化質量指數、區域信息化能力指數基礎上構造區域信息化綜合指數,根本意義在于綜合、全面、長遠地分析區域信息化狀況,因地制宜揚長避短,科學合理地推進信息化進程,促進信息化與社會經濟的全面繁榮和持續發展。
通過區域信息化綜合分析,結果表明:中國十年來信息產業發展迅速,信息化水平不斷提高,促進了經濟增長和社會發展。但是,中國信息化水平依然較低,信息化作用遠未充分發揮,信息化建設過程中存在信息資源開發不足、產業結構不合理、信息化空間分布不平衡、信息人才短缺等諸多問題,必須以可持續發展思想指導信息化建設,長遠規劃,合理布局,優化結構,協調信息化與社會經濟環境之間、信息化系統要素之間的關系,提高信息化質量與效益,增強信息化發展潛力。
各地區信息化綜合發展指數的比較如圖4所示。

圖4 信息化綜合發展指數
核心關注:拓步ERP系統平臺是覆蓋了眾多的業務領域、行業應用,蘊涵了豐富的ERP管理思想,集成了ERP軟件業務管理理念,功能涉及供應鏈、成本、制造、CRM、HR等眾多業務領域的管理,全面涵蓋了企業關注ERP管理系統的核心領域,是眾多中小企業信息化建設首選的ERP管理軟件信賴品牌。
轉載請注明出處:拓步ERP資訊網http://www.sdyuan.com/
本文標題:區域信息化的測度與評價
本文網址:http://www.sdyuan.com/html/consultation/1082032118.html
























