0 引言
步入21世紀,企業生產經營面對的環境發生了深刻變化,最主要的變化是市場化、全球化和網絡化。企業信息化是應對這一系列變化的關鍵措施,也是其提高市場競爭力和管理水平的主要方式之一。企業信息化過程雖不是一朝一夕能夠完成的,但它的推廣和應用已經成為一種必然趨勢。
ERP是一種高度集成的信息管理系統,覆蓋了企業日常運作的方方面面,可以說企業信息化的中心內容就是實施ERP系統。然而,ERP在我國實施的失敗率一直都居高不下,據統計高達70%。其重要原因之一就是軟件選型不當。如果選型不合適,必然造成大量的二次開發,這將極大地增加實施風險,甚至造成項目完全失控,最終徹底失敗。
軟件選型對企業能否順利實施ERP系統起著關鍵的作用,如AHP方法側、模糊綜合評價方法等都是最近國內常用的。本文則嘗試利用多目標決策分析中的TOPSIS方法對ERP軟件選型進行評價研究。
1 ERP軟件選型評價指標體系的建立
衡量ERP選型工作質量好壞的最終標準是看ERP及其環境在推廣應用企業中能否取得成功。因此跟ERP選型有關的、影響ERP成功的諸多因素都應在研究內容之列。為了確保ERP選型工作的成功,我們所制訂的評價指標有下列幾個原則需要遵守:①簡潔、完備性原則,ERP軟件選型指標體系應能全面反映ERP軟件系統的情況。②客觀、可考核原則,指標設定過程盡量不受主觀因素的影響。③可擴充原則,指標應根據企業不同類型的要求對指標體系進行修改、增加和刪除。以上文涉及的原則為基礎,可立起如圖1的指標體系。

圖1 ERP軟件選型指標體系
2 TOPSIS方法原理
TOPSIS法是一種逼近于理想解的排序法,該方法只要求各效用函數具有單調遞增(或遞減)性就行。TOPSIS法是多目標決策分析中一種常用的有效方法,又稱為優劣解距離法。其基本原理,是通過檢測評價對象與最優解、最劣解的距離來進行排序,若評價對象最靠近最優解同時又最遠離最劣解,則為最好;否則為最差。其中最優解的各指標值都達到各評價指標的最優值,最劣解的各指標值都達到各評價指標的最差值。本文嘗試用TOPSIS方法對ERP軟件選型進行排序評價。
2.1 構造初始數據矩陣
設有m個不同的ERP產品,每個產品有n個評價指標,用xij表示第i個ERP產品的第i個指標的評價值,則ERP軟件選型的指標評價值的初始數據矩陣為:

其中:wi表示第j項指標的權重。下面為具體計算步驟。聘請r位專家對ERP產品的n個指標因素進行評價,得到表1,其中γsj表示第s位專家者賦予第j個指標因素的值。為方便評價,設0≤γsj≤10,即每項指標的滿分為10分。
表1 評價矩陣

2.2.1 選擇參考因素數列
Uo Uo={λmax1,λmax2,λmax3,...,λmaxt},其中λmaxs=max{λs1,λs2,...,λsa}(s=1,2,...,r)。以表1中每一項作為比較因素數列,即U1等于{λ1j,λ2j,...,λsj}{j=1,2,...,n}。
2.2.2 計算關聯系數及其關聯度
我們可以使用下面的公式來計算Uj對Uo在第s位專家上的關聯系數(j=1,2,...,n;s=1,2,...,r)。

式中,ρ為分辨系數,ρ∈[0,1],引入它是為了;成少極值對計算的影響。在實際使用時,應根據序列間的關聯程度選擇分辨系數,一般取ρ≤0.5最為恰當。
利用公式

即可求出關聯度。關聯度直接反映了各個比較序列對于參考序列的優劣關系。
2.2.3 對上述所求關聯度做歸一化處理,即可求出各個因素的權重。

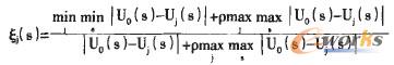
2.5 計算距離
計算每一個ERP產品與最優ERP產品和最劣ERP產品的距離。
與最優ERP產品的距離為:

2.7 排序 對計算出的每個Ci從大到小進行排序。
3 算例
為方便計算,我們利用ERP軟件系統質量U1這一層次做為算例。假設有如下的ERP產品的質量評價值表(每項指標的滿分為10分),見表2。
表2 ERP產品軟件質量評價值

假設這7位專家對軟件系統質量這一層次下的9個指標有如表3的評價值,可知目前的參考序列為:Uo={9,9,9,9,9,8,8},以表3中的每一列作為比較序列,再利用上述的灰色關聯度公式,即可計算出各指標距參考數列的灰色關聯度,進行歸一化處理,即可就算出各指標的權重為:W={0.1557,0.0989,0.1021,0.0943,0.0880,0.1001,0.1199,0.1326,0.1085},這里分辨系數ρ=0.5。
表3 樣本評價矩陣


故最優理想方案值為:

利用上述公式,即可計算出Ci={0.442,O.7222,0.5802,0.6065,0.3926},從Ci即可看出,ERP產品B的軟件系統質量相對最優,然后依次為D、C、A,ERP產品E的軟件系統質量相對最差。
4 結束語
本文采用改進的TOPSIS方法對ERP軟件選型進行了分析評價,方法簡便易行,與其它方法相比具有自己鮮明的特性。需要注意的是,什么樣的評價體系能夠成為ERP軟件選型較為可行的和全面的檢驗標準,還存在著爭議。本文采用的評價指標體系僅供參考,是否合理、切合實際、具有可操作性等尚待進一步的研究和討論。
轉載請注明出處:拓步ERP資訊網http://www.sdyuan.com/
本文標題:ERP軟件選型評價指標體系:TOPSIS法在ERP軟件選型中的應用
本文網址:http://www.sdyuan.com/html/consultation/1082013756.html
























