企業資源計劃(ERP)系統,是指建立在信息技術基礎上,以系統化的管理思想,為企業決策層及員工提供運行手段的管理平臺?茖W技術的進步,使企業通過ERP系統把相應的物流、信息流、資金流、管理流、增值流等緊密集成,使資源優化和共享成為可能。這里的ERP包含了生產管理、供應鏈管理、財務管理、人力資源管理等,因此ERP不僅僅是一個軟件,更重要的是一種管理思想和體系,它實現了企業內部資源和企業相關的外部資源的整合。據美國生產與庫存控制學會(APICS)統計,使用ERP系統,平均可以為企業下降30%~50%的庫存;減少80%的延期交貨;縮短采購提前期50%;減少60%的停工待料時間;降低12%的制造成本;管理人員減少10%,生產能力提高10%~15%,ERP市場的飛速成長證實了它的潛力。
企業實施ERP是一項復雜的系統工程,大型的ERP項目,整個實施過程包括管理咨詢、企業經營戰略研究、企業組織結構重組、企業業務流程優化、實施ERP系統的設計、ERP產品選擇、系統安裝和測試、用戶化修改、技術培訓、系統評估等一系列的步驟。其中,ERP選型可以說是至關重要的一步,即使大企業使用全球最著名供應商SAP的產品,也存在直接和問接損失達到數億美元的失敗案例。有統計表明,在所有失敗的案例中,有67%的原因是選擇了不適應的ERP系統。為了減少和避免這種失誤,選型方法成為研究熱點,本文提供一種基于國家標準(GB/T16260)質量模型和層次分析法(AHP)的ERP選型解決方案。
1 ERP選型流程
ERP項目選型,通常是指購置ERP軟件和委托實施服務,同時也是管理思想和體系的理解完善過程。企業在實施ERP系統之前,應根據自身的管理模式、發展戰略和信息資源出發,結合項目預算并對市面上主要信息系統產品和各方合作商進行調查、比較、分析和評估,最終選擇出最適合本企業需求的產品。通常選型流程如圖1所示。

圖1 選型流程
選型項目團隊中應包括企業的決策層以及業務、財務、IT部門相關人員,其主要職責是明確需求,調查同行應用狀況和選擇評價合作商。
2 質量模型(GB/T16260)和層次分析法(AHP)
國家標準《GB/T16260—2006軟件工程產品質量》規定,軟件產品質量可以通過對于內部質量、外部質量和使用質量來判定其是否滿足開發者、維護者、需方以及最終用戶的質量需求、質量標準給出質量模型,如圖2所示,合適的軟件內部屬性是獲得所需外部行為的先決條件,而適當的外部行為則是獲得使用質量的先決條件。使用質量是基于用戶觀點的包含軟件在內的環境的質量,是通過在該環境中使用此軟件的結果而不是軟件本身的屬性來測量的。

圖2 質量模型
層次分析法是1980年美國運籌學家SaatyT.L.提出的一種多準則思維的方法。它將定性分析和定量分析相結合,把人們的思維過程層次化和數量化,最終通過構建各因素之間兩兩比較矩陣來確定各因素權重和最優方案的方法。
層次分析法大體上可以分4個步驟進行:
(1)分析系統中各因素之間的關系,建立系統遞階層次結構;
(2)對同一層次的各元素關于上一層中某一元素的重要性進行兩兩比較,構造兩兩比較判斷矩陣A,其中aij=1/aji;
(3)由判斷矩陣,計算被比較元素對于該準則的相對權重;
(4)計算各層元素對系統目標的合成權重,并進行排序:

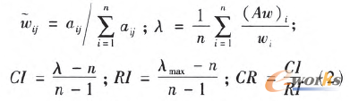
根據判斷矩陣計算矩陣的特征根、排序權重的常用方法有精確的特征根法和近似的和法及根法.公式(2)給出近似和法的計算和一致性檢驗公式。

λmax為統計意義上相應N階隨機矩陣特征根的平均值。當CR<0.1時,認為判斷矩陣的一致性是可以接受的,否則應對判斷矩陣作適當修正。
3 構造ERP選型層次結構
構建ERP層次分析結構應遵守下列原則:
3.1 完整性(complete)
構建目標與屬性的集合應該能夠將系統中所欲達的目標全部完整地表現出來。它既表現在每一個目標分解的子目標的完整性,也表現在最終所有最底層子目標聯合起來可以涵蓋總目標所有的內涵。
3.2可衡量性(measurable)
目標應能用操作型定義以反映具體改善方向,且可以找到對應之衡量屬性,以有效衡量對應目標的達成程度。目標的可衡量性不表示僅偏重量化的數據而已,透過嚴謹的尺度發展程序,對于質化的信息亦可以建立量化的評估尺度。
3.3可解構性(decomposable)
所產生的目標應該可以再細分,一個大目標可以完整地往下分解,因此可以由上而下地逐步架構目標屬級,將復雜、抽象的目標解釋為具體的細節。
3.4不重復性(non-redundant)
在決策目標與評估屬性集合完整的條件下,應避免決策目標與評估屬性的重復,以免造成某一特征被重復衡量而高估其影響。
3.5最小化(minimal)
在力求符合上述條件下,用最小的目標集合與最少個數、最精簡的評估屬性,以達到完整且不重復地表達決策問題.
根據上述原則,在國家標準GB/T16260質量模型的基礎上,結合眾多文獻的選型層次分析結構,我們設計了一個具有5層結構的選型層次圖,如圖3所示。

圖3 層次分析結構框圖
4 德爾菲專家咨詢法和兩兩比較度量
德爾菲法(Delphi)是采取匿名的方式征求專家意見,對專家意見進行統計處理。將前輪的結果填寫在咨詢表中,再將新的咨詢表發出,讓各專家根據反饋信息,對自己的判斷做出調整。如果評價的結果和反饋的信息差距較大,應敘述理由。經過反復多次的反饋修正,最后以算術平均值來代表專家們的意見,從而對事物做出評價的方法。德爾菲法保留了專家的獨立性和公正性,也借鑒了別人的意見。
判斷矩陣是通過同系(相對于同一個上層準則)同層之間元素的兩兩比較方法建立的。這里兩兩比較的標度一般采用Saaty推薦的1~9標度法(如表1所示)。
表1 Saaty九級標度法及含意

矩陣中每兩兩比較的具體數值是由專家組采用德爾菲咨詢法評估取得的。表2是Saaty計算的采用1~9標度法的隨機一致性指標RI表.當采用不同標度時,RI的值也相應變化.
表2 隨機一致性指標表

5 實際案例
某SEM企業在經過團隊組織、明確目標和初步篩選后,確定了3家ERP供應商候選.按照圖3層次結構,專家組采用德爾菲法最后對準則層B給出判斷矩陣AB。從AB我們可以進行下列推算:

這里,RI=0.9是N=4根據表2取得的,CRB通過一致性檢驗,準則層B各元素的權重是可取的。如果CR>0.1,則需要考慮對判斷矩陣重新修正。
同理可以得到C準則層各元素與對應B層準則的判斷矩陣和相對權重,D準則層各元素與對應C層準則的判斷矩陣和相對權重。當某一支系(如圖3中C4)其下層只存在兩個元素時,層次分析法并不適用,則直接采用德爾菲法由專家評定其各元素權重.雖然層次分析法(AHP)需要建立大量的判斷矩陣,但計算并不復雜,可以采用人工計算,也可以調用基于Matlab軟件工具包編寫的程序。由于篇幅關系,本文不再贅述具體計算過程,只給出各層元素的權重的計算結果(圖3中各元素后面的數字)。
將底層元素的權重沿遞階層次結構乘以其上層元素的權重,可以得到該元素在整個系統中的權重。例如:
D4=D4×C1× B1=0.23 ×0.23 × 0.46=0.024
說明安全保密性在選型中的權重是0.024.這個權重對其它選型方法有一定的借鑒意義。圖3還給出了底層元素在整個系統中的權重(最后一列數字),它可以幫助我們理解選型中各元素的相對重要程度,對重點指標給予特別關注。
將3個軟件供應商針對所有的底層元素進行兩兩評估構成判斷矩陣,并進行權重計算。最后將各供應商在所有34個因素上的權重求和,權重大者入選。表3是評估案例歸一化處理后的最終計算結果。
表3 最終選型結果

6 討論
ERP系統選擇是企業開啟其ERP旅程的關鍵的第一步.本文提出的解決方案,建立在ERP本身特性及國家標準《GB/T16260—2006軟件工程產品質量》基礎上的層次分析法,不僅能客觀反映ERP供應商的適合性,而且能量化評估結果,從而減少人為認知選型上的局限性.
采用層次分析有兩個難點,一是元素概念的不確定性,也就是德爾菲法咨詢時的問卷所問和專家所答未必是同一個事物。當眾多元素兩兩比較時,出入之大往往造成不能通過一致性檢驗。本方法采用國家標準提出的質量模型,每個元素定義明確,最大限度統一了專家的認知一致性,從而減少不必要的人力、物力浪費,并且國家標準也比較全面地反映了軟件質量的內在、外在因素,繁簡適度,可以認為在此基礎上建立的層次結構是理想的。
層次分析的第2個難點在于兩兩比較時的標度.本文采用的是傳統的1~9標度,其意義已為評估專家所理解,這對保證評估的準確性影響很大。對相同的層次結構,如果采用不同標度,對于權重相近的元素,最終結論可能不同,這仍然是一個值得研究和關注的問題。
轉載請注明出處:拓步ERP資訊網http://www.sdyuan.com/
本文標題:基于標準質量模型和層次分析法的ERP選型
本文網址:http://www.sdyuan.com/html/consultation/10820110432.html
























