在企業實施業務流程再造(Business Process Reengineering ,BPR)和業務流程管理(Business Process Management,BPM)實踐,以及人們對業務流程再造和業務流程管理的理論探討過程中,逐漸產生了業務流程具有生命周期的概念。在國外,Rober L.Sanders以及 Prins R.BlokdijkA較早使用了業務流程生命周期的概念。Michael P.Papazogulou等把業務流程分成計劃、分析與設計、建立和測試、試運行、實施和監控六個階段。在國內,蔣志清提出企業的業務流程是生命周期的,可以分為四個階段:識別需求、設計流程、執行并優化流程、流程重組。王建仁等認為業務流程生命周期是指企業從分析流程狀況和優化的全過程。他們將業務流程分為五個階段:流程分析階段、流程設計階段、流程建模階段、流程實施階段,以及流程評價和優化階段。車爭等把業務流程的生命周期與產品的生命周期想對應,分為流程設計、流程定義、流程運行、流程挖掘和流程再造等階段。上述觀點有一個共同的地方:都是從流程設計和管理的角度來分析業務流程生命周期,從而有利于流程分析、設計與建模,特別有利于業務流程與IT技術相結合,實現業務流程的信息化。潘國友等則更關注業務流程本身,認為流程的生命周期可以分為四個階段:產生階段、成長階段、成熟階段和衰退階段。上述研究成果從不同的視角對業務流程的生命周期進行了有益的探討,但都僅僅只做了定性的分析,缺乏對業務流程生命周期各個階段特征的定量描述和探討。本文在上述研究成果的基礎上,對業務流程生命周期的特點做了進一步分析,并試圖通過相對能力綜合系數和生命曲線建立一個定量的分析框架。
一、 企業業務流程是一個具有生命周期的開放系統
流程是具有生命周期的,流程的生命周期是指流程從形成到衰亡具有階段性和共同規律性的全過程。流程的形成有兩個途徑:一是原生,一是再生。伴隨著企業的誕生自發形成的流程叫做原生流程,在原有流程基礎上經過再造而產生的流程成為再生流程。無論是原生流程還是再生流程,他們的產生都源于顧客的需求和企業的經營戰略。只有當市場上顧客對某種產品和服務的需求,而企業根據自己的經營方向、戰略和資源狀況有能力并且愿意提供該產品和服務時,才會設計、實施和運營一個勉強顧客的、基于當時技術水平的流程。一個實施中的流程是一個復雜的開放系統。具體情況如圖1所示。

圖1 業務流程系統
由圖1可以看出,一個流程包括許多要素:首先是一系列活動,這些活動是相互關聯的、有序的和相互作用的;其次是資源的輸入(包括原材料和人力資源等);最后是輸出:經過流程輸入轉化成顧客有價值的產品和服務。在這個開放的系統中有序流動的不僅是物質資源,還有與之相對應的價值形態以及信息。信息反饋是流程控制和管理的基本條件之一。
流程具有四個維度的基本特征:分別是流程成本、流程時間、流程質量和流程靈活性。這四個特征決定了流程生產產品或提供服務的能力,可以成為流程的生產能力。一個流程形成時就具有一定的生產能力,由于要收到許多環境因素的影響,這個生產能力是不斷變化的。環境因素主要是降低了流程的相對生產能力(相對生產能力是指采用標桿管理的分析方法,以當時最佳流程的生產能力為基準進行比較而獲得的一個相對系數)。其中最重要的影響因素有:市場因素(主要是顧客需求)、技術因素和企業戰略。顧客需求的微笑變化就可能挑戰流程的靈活性,顧客提高對產品或服務的質量要求,就可能增加流程成本和流程的流轉時間。技術因素會影響流程的相對生產能力,這是因為一個流程的設計和運行是基于當時的技術水平的,相關技術水平的迅速提高自然降低了流程的相對生產能力。企業戰略的調整也會影響到某些流程的生產能力,比如企業由低成本戰略轉向差異化戰略,就會對生產流程的靈活性提出更高的要求。顧客需求的變化、技術發展和企業戰略的調整都是不可避免的。這就決定了一般的流程會隨著時間的流失逐漸走向衰亡。
二、業務流程生命周期階段的劃分以及每個階段的特征
根據流程相對生產能力和流程對顧客需求、企業戰略以及技術水平等影響因素的適應能力的發展變化,將流程的生命周期分為形成期、成長期、成熟期和衰退期四個階段。流程的形成期開始于對顧客需求的識別,經過企業進行流程分析、設計和建模,止于流程試運行的結束。在流程的形成期,基本確立了流程成本、運轉時間、流程質量和流程靈活性等方面的基本特征并開始形成生產產品(或提供服務)的能力。流程試運行結束后開始正式實施和運營流程,這時流程進入了成長期。在成長期,由于流程的管理、控制、操作人員已經比較熟悉流程的運作程序和運動規律,系統內各個要素開始能較好的配合協調,流程的運行趨于穩定,因此流程的生產能力迅速提高。當流程的生產能力指標(即流程的成本、流轉時間、流程質量和靈活性等)達到流程設計的目標水平時,流程進入成熟期。這一時期,流程對顧客需求、企業戰略以及技術水平都相當適應,相對和絕對生產能力倒到了其歷史上的最高水平,流程出于運行的最佳時期。流程生命周期的第四個階段是衰退期,進入衰退期的明顯標志是相對生產能力開始快速的或者緩慢的下降。原因可能是企業戰略的調整,或者是顧客需求的變化,也可能是流程不能適應相關技術的發展變化。
三、業務流程生命周期的測度:生命周期曲線和相對能力綜合系數
(一)業務流程生命周期曲線
由前面的論述可知,僅僅用絕對的生產能力來說流程能力是不夠的,還需要綜合考慮流程對顧客需求、企業戰略、技術水平等因素的適應能力。我們定義一個新概念相對能力綜合系數(Relatively Integration Ability Coefficient ,RIAC),即能綜合反映一個流程的相對生產能力,以及對顧客需求、企業戰略、技術水平等適應能力的系數來描述流程的生命周期特征。一般流程的生命周期如圖2所示,圖中的曲線我們稱之為流程生命周期曲線。橫坐標(T)表示時間,當t=0,t=t5時,分別表示流程生命周期的開始和終止。縱坐標(RIAC)表示相對能力綜合系數。在時間區間[0,t1]、(t1,t2](t2,t4]和(t4,t5]內分別是流程的形成期、成長期、成熟期和衰退期。T3表示RIAC達到最大值。

圖2 業務流程的生命周期曲線
(二)相對能力綜合系數的確定方法
RIAC是流程相對生產能力(P)、流程對顧客需求適應能力(C)、流程對企業戰略適應能力(S)和流程對技術水平適應能力(T)的函數(本文略去其他影響流程能力的因素),即:
RIAC=f(P,C,S,T) (1)
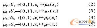
P,C,S和T均為模糊概念,因此使用模糊數學的方法處理。設論域U1、U2、U3和U4分別表示P,C,S和T的取值范圍,分別建立P,C,S和T的取值到閉區間[0,1]的一個影射,即有:

μp、μc、μs和μt分別是模糊集P(流程相對生產能力)、C(流程適應顧客需求)、S(流程適應企業戰略)、T(流程適應技術水平)的隸屬函數,取值區間為[0,1]。μp(xp)是U1中元素xp對模糊集P的隸屬度。其余情況一次類推。模糊集P,C,S,T的隸屬函數和相對隸屬度用Delphi法確定。
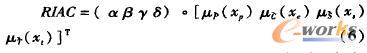
設α、β、γ和δ分別表示流程相對生產能力、流程對顧客需求適應能力、流程對企業戰略適應能力和流程對技術水平適應能力在RIAC中的權重(權重可以用專家咨詢法和層次粉刺發確定),且α+β+γ+δ=1,則
式(6)中“o”為模糊集的算子。若采用加權平均算子則有:
(三)業務流程生命周期曲線的變異及其類型
圖2中的流程生命周期曲線是一條理論上的曲線,反映的是流程生命周期的一般形態。在現實中,由于流程類型的不同,環境影響因素不同,企業經營戰略不同,流程生命周期曲線會出現各種變異。下面列舉幾種常見的形態:
(1)一些簡單的流程,如比較簡單的生產流程,可能會很快從形成期進入成熟期,即成長期很短,成熟期較長,如圖3(a)所示。
(2)復雜流程會需要較長的成長期,如一些技術復雜的服務流程,其服務質量的一致性、流程的穩定性在短時間內是做不到的。如圖3(b)所示。
(3)一些重大變化可能使流程的生命周期突然終止,這些重大變化包括企業倒閉、企業重大戰略調整等等。如圖3(c)所示。
(4)有些流程在衰退期經過流程優化的可能重新進入成長期,如圖3(d)所示。

圖3 業務流程的生命周期曲線的類型
四、基于業務流程生命周期的流程管理策略
霍華德.史密斯首次突出了業務流程管理的概念,認為業務流程管理是一種以規范化的構造端到端的卓越業務流程為中心,以持續地提高組織業務效績為目的的系統化方法。潘憲生等則認為流程管理是指以各種流程為基本控制單元,根據企業經營戰略的需要,對流程的規劃、設計、構造和調控等所有環節實施系統管理,全面協調各種流程之間的相互匹配關系,以及與管理流程的適應問題。流程管理的重點是對實施中的流程進行有效的控制和各種流程之間的協調配合。
分析流程的生命周期及其特點,把流程的生命周期劃分為不同階段,都是為了便于流程的管理。對于企業正在實施和運行的流程需要判斷該流程正處在其生命周期的哪個階段、具有哪些顯著的特點,未來的發展趨勢如何,這樣才能針對不同階段和特征采取相應的而管理策略。流程的形成期可能比較短暫,但是它的重要性并不亞于其他階段。在形成期,流程管理的重點是顧客需求的識別和流程設計。需求識別必須準確,流程設計必須科學合理、符合流程設計的相關原則。流程進入成長期后,管理的重心應該轉移到迅速提高流程生產能力上來,主要搞好流程系統內各個要素之間和關聯流程之間的協調配合,提高流程穩定性和靈活性。流程的成熟期對企業和顧客來說都是最有價值的時期,這一階段的管理重點是利用、維護和持續改進,盡量推遲進入衰退期的時間。如果流程有進入衰退期的跡象,管理人員應給予高度重視,認真分析原因并判斷未來的與發展趨勢。在這一時期,主要的策略選擇是劉徹更優化、流程再造,或者終止該流程并對其資源進行重新配置和整合。
五、結束語
將企業業務流程視為一個具有特定生命周期的開放系統,在將其劃分為形成、成長、成熟和衰退四個階段的基礎上進一步分析各個階段的特征,并通過相對能力綜合系數和生命周期曲線進行了定量分析。業務流程生命周期的相關理論分析對業務流程管理和流程再造的實踐具有一定的指導意義。
核心關注:拓步ERP系統平臺是覆蓋了眾多的業務領域、行業應用,蘊涵了豐富的ERP管理思想,集成了ERP軟件業務管理理念,功能涉及供應鏈、成本、制造、CRM、HR等眾多業務領域的管理,全面涵蓋了企業關注ERP管理系統的核心領域,是眾多中小企業信息化建設首選的ERP管理軟件信賴品牌。
轉載請注明出處:拓步ERP資訊網http://www.sdyuan.com/
本文標題:業務流程生命周期的特征與測度
本文網址:http://www.sdyuan.com/html/consultation/1081963584.html
























